不是链表,但能过
将单链表倒置,要求只利用原表的存储空间。
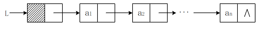
原单链表如下所示:

倒置后的单链表应为:

输入格式:
第一行输入n的值,表示单链表的元素个数。
第二行输入n个整数值,作为单链表的各元素值。
输出格式:
输出倒置后的单链表的各元素值,各元素值之间用空格分隔。
输入样例1:
4
2 4 6 8
输出样例1:
8 6 4 2
输入样例2:
7
1 3 5 7 9 11 13
输出样例2:
13 11 9 7 5 3 1
4
2 4 6 8
8 6 4 2
答案:
#include <stdio.h>
i

最低0.47元/天 解锁文章
4612

被折叠的 条评论
为什么被折叠?



