它将有约束最优化问题转化为求解无约束最优化问题:其中M为足够大的正数, 起”惩罚”作用,称之为罚因子,F(x, M )称为罚函数。罚函数法求解非线性规划问题的思想是,利用问题中的约束条件做出适当的罚函数,由此构造出带参数的曾广目标函数,并把问题转化为无约束非线性规划问题。传统的罚函数法一般分为外部罚函数法和内部罚函数法。外部罚函数法是从非可行解出发逐渐移动到可行区域的方法。内部罚函数法也称为障碍罚函数法,这种方法是在可行域内部进行搜索,约束边界起到类似围墙的作用,如果当前解远离约束边界时,则罚函数值是非常小的,否则罚函数值接近无穷大的方法。
案例:
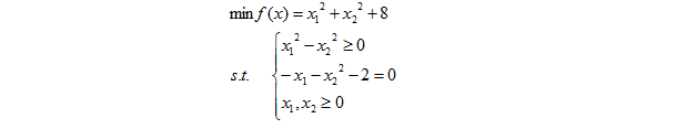
Matlab中求解:先编写.m文件,在求值
求值的结果:
2647

被折叠的 条评论
为什么被折叠?



