前言
更多内容,请访问我的 个人博客。
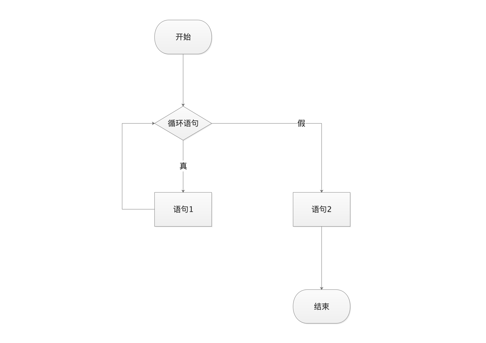
循环语句
什么是循环语句呢?我们来看看下面这幅流程图。

当程序执行到循环语句时,若是执行结果为真,则执行语句1;然后,程序返回,继续执行循环语句,直到循环语句的执行结果为假,程序才会跳出循环,执行语句2,接着程序结束。
在这个流程图中,我们可以看到,如果循环语句的执行结果一直为真,那么,程序就会循环执行语句1,除非内存溢出,程序报错;否则,程序永远不会停止。
就像火影忍者里的鼬大神释放的一个忍术伊邪那美一样,永远循环下去,直到找到突破口。

Python的循环语句有两种,一种是 while ,另一种是 for 。
while语句
while 语句的形式如下所示:
while 判断条件:
语句1
else:
语句2
若判断条件为真,则执行语句1;否则,执行语句2。
如下例子,就是循环计算1+2+3…+100
n = 100
sum = 0
counter = 1
while counter <= n:
sum = sum + counter
counter += 1
print("1 到 %d 之和为: %d" % (n,sum))
无限循环
我们可以通过设置条件表达式永远为真,来实现无限循环。**无限循环在服务器上的实时请求非常有用。**如下是一段示例:
var = 1
while var == 1 :
# 表达式永远为 true
strInput = input("请输入:")
print ("你输入的是: ", strInput)
print ("结束")
for语句
for 语句的形式如下所示:
for 变量 in 序列:
语句1
else:
语句2
遍历序列,获取元素项,并执行语句1;当遍历结束,执行语句2。
如下例子,遍历列表,并打印列表的元素项:
fruits = ['葡萄', '西瓜', '香蕉', '苹果']
for ft in fruits:
print(ft)
在循环语句中还有三个比较重要的语句:break 、continue 、pass 。
break
break 是指立刻跳出全部循环,不再执行循环中的语句。
continue
continue 是指立刻跳出本次循环,不再执行本次循环中剩余的语句,但是还会继续执行下一次循环代码。
pass
pass 是空语句,为了保持程序结构的完整性。它不做任何事情,相当于占位语句。
练习题
-
习题1:
用while语句打印出九九乘法表。
-
习题2:
一个四位数 abcd,满足 abcd * 4 = dcba,求这个数。
关注公众号:潘高陪你学编程,回复017,获取习题答案。



448

被折叠的 条评论
为什么被折叠?



