一、AFM模型简介
AFM模型是17年发表在IJCAI-17上的一篇论文,它是NFM模型的一个改进, 在传统FM模型中,使用二阶交叉特征得到非线性表达能力,但是不是所有的特征交叉都会有预测能力,很多无用的特征交叉加入后反而会相当于加入了噪声。为了区别对待不同的特征,引入了Attention机制。
论文地址为:https://www.ijcai.org/proceedings/2017/0435.pdf
其结构图为

其中attention network可形式化为:

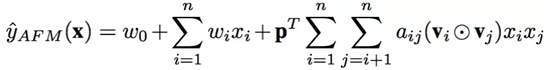
AFM模型的公式为:

需要注意的是:
为了增强泛化能力,
-
在Pair-wise Interaction Layer的输出使用Dropout
-
在Attention Network中使用L2正则化
二、代码展示
1、<vi,vj>xi,xj
def calc_pi_embedding(cate_num, emb_part):
"""
# Emb_part[:,i,:] 假设Emb_part是m*n*t,取得[:,i,:]是第二维的数据也就是m*i*t的数据
# 如[[[1,2,3,4,5],[3,4,5,6,7]],[[1,3,3,4,5],[3,6,5,6,7]],[[1,7,3,4,5],[3,4,5,6,1]]]
# 取[:,0,:]
# 结果为[[1, 2, 3, 4, 5]

AFM模型是针对NFM的改进,通过Attention机制区分特征交叉的有效性,降低噪声影响。论文发表于IJCAI-17,模型结构包括Pair-wise Interaction Layer和Attention Network,并在关键层应用Dropout和L2正则化以提升泛化能力。本文提供代码示例展示AFM模型的实现。
最低0.47元/天 解锁文章


被折叠的 条评论
为什么被折叠?



