近年来,NLP领域发展迅速,而机器翻译是其中比较成功的一个应用,自从2016年谷歌宣布新一代谷歌翻译系统上线,神经机器翻译(NMT,neural machine translation)就取代了统计机器翻译(SMT,statistical machine translation),在翻译质量上面获得了大幅的提高。目前神经机器翻译模型主要分为三种:
1. 一种是以rnn为基础的模型, 一般是LSTM+attention,顺序处理输入信息。
2. 一种是以cnn为基础的模型,今天要讲的Fairseq就属于这种
3. 一种是完全依靠attention的模型,如谷歌的transformer
1. 背景介绍
Fairseq 这个翻译模型由Facebook AI实验室在2017年提出,和以往以RNN为基础的翻译模型相比,采用了以cnn为主的模型结构。
RNN的链式结构,能够很好地应用于处理序列信息。但是,RNN也存在着劣势:一个是由于RNN运行时是将序列的信息逐个处理,不能实现并行操作,导致运行速度慢;另一个是传统的RNN并不能很好地处理句子中的结构化信息,或者说更复杂的关系信息。
相比之下,CNN的优势就凸显出来。文章提到用CNN做seq-seq这种翻译任务有3个好处:
1. 通过卷积的叠加可以精确地控制上下文的长度,因为卷积之间的叠加可以通过公式直接计算出感受野是多少,从而知道上下文的长度,RNN虽然理论上有长时记忆的功能,但是在实际的训练过程中,间隔较远的时候,很难学到这种词与词之间的联系。
2. 卷积可以进行并行计算,而RNN模型是时序的,只有前一帧得出结果才能进行后续的计算。
3. 对于输入的一个单词而言,输入CNN网络,所经过的卷积核和非线性计算数量都是固定的,不过对于输入RNN的单词而言,第一个单词要经过n次unit的计算和非线性,但是最后一个单词只经过1次,文章说固定队输入所施加的非线性计算会有助于训练。
2. 模型
好,下面主要讲一下Fairseq的模型,模型结构如下图所示:


下面进行分步讲解:
Position Embedding
输入除了词向量之外,还加入了位置信息,最后的输入向量为词向量加上位置向量。

其中w为词向量,p为位置向量。
Convolution
假设每一个卷积核的宽度是k=5,也就是每次对5个输入的单词进行卷积,那么卷积核的参数是

输入是:

其中d是词向量的长度,经过卷积之后,输出的向量维度是2d,经过卷积之后,还要经过一个非线性单元,一般在图像当中,这个非线性单元是relu,sigmoid这样的激活函数,在这里,Fairseq采用的是GLU(Gated Linear Units)。
GLU
GLU是线性门控单元,假设一个卷积核的输出是:

GLU的公式是:

表示向量A点乘sigmoid处理B的结果,这里可以将B理解为权重,控制着A中的哪些维度是相关的,哪些是无关的。
Residual connection
这里参考了图像领域鼎鼎大名的Resnet的结构,加入了residual connection,第l层卷积的输出就变成了:

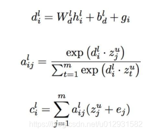
Multi-step Attention
这是一个离散的attention机制,和rnn的不同,这个机制对于每一个卷积层有一个attention,计算公式如下:

和传统的attention相似,权重由decoder当前的输出h_i和encoder的所有输出z决定,利用该权重对encoder的输出进行加权,得到c,之后将c和h连接在一起组成新的h,作为下一卷积层的输入。
和传统attention不同的地方是在计算c的时候,将原始的输入向量e加入进来了。
这就是多跳注意机制multi-hop attention。这样做的好处是使得模型在得到下一个注意时,能够考虑到之前的已经注意过的词。
结果
同以往的RNN模型做比较,发现BLEU和时间上都明显占优。


代码地址
可以参考官方代码:https://github.com/pytorch/fairseq
总结
Fairseq成功地将卷积应用到了机器翻译上,主要的亮点有position embedding,GLU作为非线性单元,残差连接,multi-attention机制,从效果和效率上都要优于传统的RNN为基础的模型。

1517

被折叠的 条评论
为什么被折叠?



