1 软件工程概述
1.1 软件工程概念的提出与发展
软件危机:质量低、成本高、开发周期长
软件工程:计算机科学理论和技术以及工程原则和方法,按预算、进度满足用户要求产品的工程
软件工程的发展
- 60 ~ 80 年代:开发模型、开发方法、支持工具
- 80 年代末至今:软件复用技术、软件生产管理
1.2 软件开发本质
软件开发目标:映射,将问题域术语映射为解决域的实现
软件开发的本质:不同抽象层术语间的映射,以及不同抽象层处理逻辑的映射
模型的概念:特定意图下所确定的角度和抽象层次上对物理系统的描述(包含对系统边界描述、内部各元素关系间的描述)
模型类别:概念模型(这个软件是什么?)、软件模型(实现概念模型的软件解决方案)
2 需求与需求规约
2.1 需求获取
需求的定义:一个构造的陈述,描述产品功能、性能、或其他性质
需求的基本性质:必要的、无歧义的、可测的、可跟踪的、可测量的
需求的分类:功能需求(主体)、非功能需求(性能、接口、设计约束、质量属性)
需求发现技术:自悟、交谈、观察、小组会、提炼
2.2 需求规约 SRS
需求规约的定义:软件所有需求陈述的正式文档,表达了软件的概念模型
需求规约的基本性质:重要性和稳定程度(对需求分级)、可修改的、完整的(无遗漏)、一致的(不存在互斥)
2.3 需求规约的格式
IEEE 1998:引言(目的、范围、定义、缩略语、参考文献、概述)、总体描述(描述、功能、用户特性、约束、假设和依赖)、特定需求(技术核心)、附录、索引
需求规约的表达:非形式化(自然语言)、半形式化、形式化
需求规约的作用
- 开发组织和用户间的技术合同书
- 管理控制点
- 对产品设计来说,是一个正式、受控的起点
- 产品验收和用户指南的基础
3 结构化方法
结构化分析方法:DFD、数据字典、决策树、决策表
结构化分析建模的步骤
- 建立系统环境图,确定系统语境
- 自顶向下,逐步求精,建立数据流图
- 定义数据字典
- 描述加工
3.1 结构化需求分析
业务需求 -> 用户需求 -> 功能需求
需求分析面临的挑战:问题空间的理解、人与人间的通信、需求的变化
3.1.1 需求技术的基本特征
- 提供方便通信的机制
- 分析人员使用问题空间术语思考问题、编写文档
- 定义系统边界的方法
- 支持抽象的基本机制
- 提供多种选择方案
- 提供特定技术,适应需求变化
3.1.2 需求分析中的基本术语
- 数据:客观事物的一种表示;数据是信息的载体
- 信息:具有特定语义的数据
- 数据流:数据的流动
- 加工:数据变换单元
- 数据存储
- 数据源和数据潭
3.1.3 系统功能模型表示方法
数据流图(DFD):数据源和数据谭(正方形)、数据流(箭头实线)、加工(圆形/椭圆形)、数据存储(双横线)

数据字典:定义数据流、数据存储的数据结构
- 顺序结构:
+ - 选择结构:
| - 重复结构:
{} - 子界:
m .. n
判定表、判定树、结构化语言:加工描述

IF 工资 <= 4500
无需缴税
ELSE
需要缴税
平衡问题
- DFD 图与数字字典一致
- 底层加工与数字字典一致
复杂控制问题
- 上层数据流可以打包
- 下层模块:7 ± 2
- 每个加工数据流不能太多
3.1.4 需求验证
验证:必要性、无歧义性、可测性、可跟踪性、可测量性
错误类型:不正确的事实、遗漏、不一致、歧义等
发现错误的方法:审查、单元测试、评估、集成
3.2 结构化设计
结构化设计任务
- 定义满足需求所需要的结构
- 确定怎么做
- 分为总体设计(以系统为对象)和详细设计(以模块为对象)
模块结构图、层次图、HIPO 图(层次图 + IPO 图)
模块:软件中具有特定标识的独立成分,执行特殊任务的过程以及相关的数据结构,分为模块接口和模块体
模块调用:模块间的关系
3.2.1 总体设计
总体设计步骤
- DFD 转为初始模块结构图
- 基于高内聚低耦合,通过模块化,转为最终模块结构图
系统分解成软件模块
- 分而治之和抽象
- 自顶向下,逐步求精
- 形成模块层次结构
两种映射方法
-
变换设计(数据凝聚):输入、变换、输出
-
事务设计(逻辑凝聚):输入分为许多相互平行的加工路径,根据输入属性选择其中一种路径
耦合:模块间的依赖关系。内容耦合(直接修改其他模块数据)、公共耦合(多模块使用同一个全局数据)、控制耦合(一个模块向另一个模块发送控制信号)、标记耦合(一个模块向多个模块传递公共数据)、数据耦合(通过参数传递数据)
内聚:模块内的关联关系。偶然内聚(无任何关系)、逻辑内聚(逻辑相关)、时间内聚(同一时间段)、过程内聚(特定次序)、通信内聚(操作同一数据)、顺序内聚(一个输出作为另一个输入)、功能内聚(完成单一功能)
启发式规则:高内聚低耦合
- 改进软件结构,提高软件独立性。模块分解
- 模块规模适中
- 深度、宽度、扇出、扇入适中
- 模块作用域(受影响的模块)在控制域(直接或间接从属模块)内
- 降低模块接口复杂度
- 模块功能可以预测
3.2.2 详细设计
设计目标:将总体设计产生的高层结构映射为以相关术语表达的底层结构
结构化程序设计方法:程序的控制流程线性化,实现程序动态执行的顺序符合静态书写结构,提高可读性
基于结构的编程方法:采用顺序结构、选择结构、重复结构进行编程
详细设计工具:程序流程图、盒图、PAD 图、类程序设计语言 PDL
3.2.3 设计规约
描述需求规约所要求的所有功能模块,以及伴随功能模块出现的非功能机制
概要设计规约:指明高层体系结构
- 系统环境
- 模块结构
- 模块描述
- 逻辑结构
- 测试需求
详细设计规约:设计人员与程序员交流的媒体
- 算法
- 数据结构
4 面向对象
4.1 UML
统一建模语言
作为软件需求规约、设计和实现的工具,给出不同抽象层术语以及模型表达工具
4.1.1 面向对象建模过程
- 需求获取:建立用况模型和场景
- 需求分析:活动图、状态图、类图、顺序图
- 编写规格说明书
- 需求验证
4.1.2 UML 术语表
客观事物的术语:类和对象、接口、协作(交互各方、交互方式、交互内容)、用况、主动类(至少具有一个线程/进程的类)、组件(通过外部接口,隐藏内部实现)、制品(包含物理信息、可替代的物理部件)、节点(计算机资源)
关系的术语:依赖、关联(聚合、组合)、实现(精化)、泛化
组合关系的术语:包(use/import)
4.2 RUP
统一软件开发过程,用户需求转换为产品所需要的活动
4.2.1 RUP 特点
RUP 特点:以用况驱动、以体系结构为中心的迭代、增量式开发
RUP 设计特点
- 使用公共思想思考设计,使设计可视化
- 给出有关子系统、设计类、接口的需求
- 对底层工作的分解,可由不同开发组同时开发、管理
RUP 设计模型
- 设计子系统和服务子系统,以及依赖、接口、内容
- 设计类,以及操作、属性、实现需求
- 用况细化
- 设计模型视角下的体系结构描述
4.2.2 RUP 阶段
初始(生命周期目标里程碑) -> 细化(生命周期构造里程碑) -> 构造(初始功能里程碑) -> 交付(产品发布里程碑)
初始阶段目标
- 获得体系结构轮廓
- 建立商业案例
- 确定项目边界
- 从业务角度指明价值
- 生命周期目标里程碑
细化阶段目标
- 分析问题领域,建立健全的体系结构,淘汰高风险项目
- 生命周期结构里程碑
构造阶段目标
- 最终的体系结构
- 开发完整的系统
- 确保可以向客户交付
- 初始功能里程碑
交付阶段
- 确保软件可用
- 基于用户反馈进行调整
核心过程工作流:商业建模、需求、分析和设计、实现、测试、部署
核心支持工作流:配置和变更管理、项目管理、环境
4.2.3 需求获取
建立用况模型
-
列出候选需求:特征列表
-
理解系统语境:业务模型。业务用况模型(参与者、业务用况),业务对象模型(工作人员、工作实体、工作单元)
-
捕获功能需求:用况模型。发现和描述参与者、用况,确定用况优先级,精化用况,构造用户界面模型,用况模型结构化
-
捕获非功能需求
4.2.4 需求分析
在用况模型上,建立分析模型及该模型体系结构描述
术语
-
分析类:类的一种,很少有操作和特征。实体类,边界类,控制类
-
用况细化:是一个协作,针对一个用况,其行为可以用多个分析类间协作相互作用细化
-
分析包:把变化限制到一个业务过程、行为、用况
分析模型表达
- 由分析系统决定
- 分析系统包含一组具有层次结构的包
- 一个包可以包含分析类和用况细化
体系结构分析、细化分析、对类分析、对包分析
| 用况模型 | 分析模型 |
|---|---|
| 客户语言描述 | 开发者语言描述 |
| 系统对外的视图 | 系统内部的视图 |
| 外部视角的结构 | 内部视角的结构 |
| 客户与开发之间的契约 | 开发者理解系统的基础 |
| 需求间可能存在冗余、不一致、冲突 | 不存在冗余、不一致、冲突 |
| 捕获系统功能 | 细化系统功能 |
| 定义进一步分析的用况 | 定义每一个用况的细化 |
4.2.5 软件设计
定义满足需求规约的软件结构
设计模型:设计类、用况细化、设计子系统、接口
部署模型:描述系统的物理分布
体系结构设计
- 标识节点和他们的网络配置
- 标识子系统和他们的接口
- 标识有意义的设计类和接口
- 标识一般性的设计机制
用况设计
- 参与用况细化的设计类
- 参与用况细化的子系统
类的设计
- 概括设计类
- 操作、属性
- 关联、聚合、组合、泛化关系
- 描述方法、状态
4.2.6 实现与测试
实现目标
- 给予设计类和子系统生成构建
- 对构建进行单元测试
- 进行集成和链接
- 可执行的构建映射为部署模型
RUP 测试:内部测试、中间测试、最终测试
5 软件测试
软件过程质量和软件产品质量的基础,是一种动态评估的技术
5.1 软件测试目标
5.1.1 软件测试对象
软件 = 程序 + 文档
测试对象:各个阶段产生的源程序和文档
软件测试目的:尽可能多的发现存在的错误,并精心改正
5.1.2 软件测试定义
软件测试:按照特定规程发现软件错误的过程,检验是否满足对应需求
- 测试证明错误,调试证明正确
- 测试以已知条件开始
- 测试有计划的
- 测试是发现错误、改正错误、重新测试的过程
- 测试执行由规程
- 测试由独立测试小组完成
- 测试的设计和执行可由工具支持
5.1.3 测试过程模型
- 测试设计:环境模型、对象模型、错误模型
- 测试执行
- 测试结果比较
5.2 软件测试技术
人工测试:个人审查、走查、会审
机器测试:黑盒、白盒
5.2.1 路经测试技术
介绍
- 白盒测试技术
- 依据的是程序的逻辑结构
- 采用控制流程图来表达被测程序模型
- 合理选择路径,达到某种测试度量
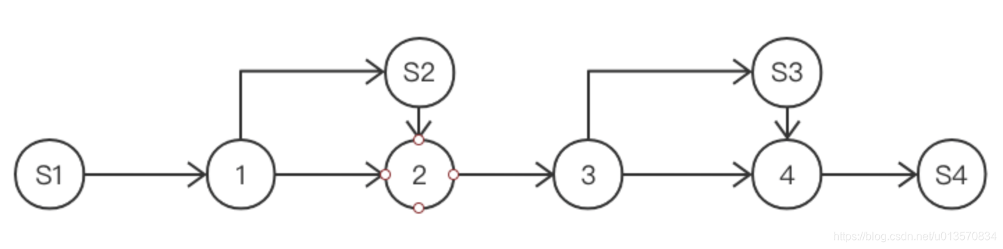
控制流程图

-
程序块:没有被判定或节点分开的语句,如:S1、S2、S3、S4
-
判定:控制流出现分叉,如:1、3
-
节点:多个控制流结合,如:2、4
-
链:过程块、判定、节点的关系
-
路径:链组成,入口开始,出口结束
测试策略
- 路径覆盖(PX):执行所有可穿过程序控制路径
- 语句覆盖(C1):所有语句执行一次
- 分支覆盖(P2):每个分支执行一次
- 条件覆盖:每个条件执行一遍(注意 or 的前面为假后面就不会执行)
- 条件组合覆盖:条件的各种可能组合都至少出现一次
路径选取原则:最小强制语句覆盖
- 选择最简单、具有功能含义的入口/出口
- 选取最短路径
- 选取没有明显功能的路径
5.2.2 基于事务流测试
介绍
- 功能测试
- 黑盒测试
事务:从用户角度出发见到的工作单元,从生到死
事务由一系列操作组成
事务流:为功能建立程序的动作模式
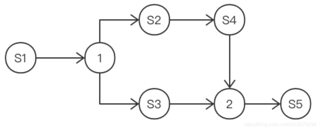
事务流程图

- 并生:事务处理产生一个新事务,两个事务继续执行
- 丝分裂:事务处理产生两个新事务
- 汇集:事务的不同活动汇集一处
- 吸收:一个事务一个被另外一个事务吸食
测试步骤
- 获得事务流程图
- 浏览、复审
- 用例设计
- 测试执行
5.2.3 等价类法
根据程序 I/O 特性,将输入划分为有限个等价类
5.3 软件测试步骤
5.3.1 单元测试
考虑模块特征:模块结构、局部数据结构、重要执行路径、错误执行路径
驱动模块:调用被测试模块的模块
承接模块:被测试模块调用的模块
5.3.2 集成测试
测试模块间接口的正确性,与单元测试平行进行
自顶向下的集成测试:设计承接模块
自底向上的集成测试:设计驱动模块
每加入新的模块还要进行回归测试
5.3.3 有效性测试
目标是发现软件的功能与需求规格说明,采用黑盒测试
6 软件生存周期
过程类 -> 过程 -> 活动 -> 任务
6.1 1995
生存过程分类:基本过程、支持过程、组织过程
6.1.1 基本过程
与软件生产直接相关的活动集
获取过程、供应过程、开发过程、运行过程、维护过程
6.1.2 支持过程
有关各方按目标从事的一系列活动集,提高系统或软件产品质量
文档过程、配置管理过程、质量保证过程、验证过程、确认过程、联合评审过程、审计过程、问题解决过程
6.1.3 组织过程
与软件生产组织有关的活动集
管理过程、基础设施过程、培训过程、改进过程
6.2 2008
2 个过程类,7 个过程组,43 个过程
-
系统语境的过程:协议、项目、技术、项目使能过程组
-
软件开发的过程:软件实现、软件支持、软件复用过程组
6.2.1 供应过程
为获取方提供需求的产品或服务
活动:机遇标识、供应方投标、合同协商、合同执行
结果:标识获取方、对获取方作出响应、双方建立协议、供应方开发满足需求的产品
6.2.2 软件实现过程
规约的行为、接口、实现约束转换为动作,创建称为软件项的产品和服务
活动:软件实现策略
结果:定义实现策略、标识实现技术约束、实现了软件、按协议打包软件并存储
6.2.3 软件需求过程
建立软件部分的需求
活动:建立软件和需求文档、评估软件需求、需求复审
结果:需求分配给系统的软件元素、分析需求的正确性和和可测性、了解需求对环境的影响、软件需求和系统需求建立一执性和可跟踪性、定义需求的优先级、需求得到批准并按需求整改、需求评估、建立需求基线并于有关部门协商
6.2.4 软件体系结构设计过程
提供设计方案
活动:软件结构设计
结果:开发软件体系结构设计,描述实现软件项、设计每一个软件项的内部接口和外部接口
6.2.5 软件验证过程
证明软件满足需求规约
活动:过程实现、验证
结果:实现验证策略、标识验证准则、执行验证活动、记录缺点、给出验证结果
6.2.6 软件确认过程
证实软件产品是否满足客户需求
活动:过程实现、确认
结果:实现确认策略、标识确认准则、执行确认活动、记录问题、提供证据证明能按照客户所期望方式使用、给出验证结果
6.3 应用说明
系统和软件
- 软件是整个系统的组成部分
- 区分系统需求和软件需求分析
系统包含非常重要的非软件因素时,采用 15288 标准
组织层和项目层:项目可能由组织执行
过程间的时序关系:没有明确过程、活动、任务间的时间依赖关系,支持活动之间的迭代和再现
过程分解:把过程划分为更小片段
生存周期模型和阶段:用生存周期模型对产品模型化、模型由阶段组成
剪裁:针对特定情况,修改生存周期过程
6.4 软件生存周期模型
含义:包含产品开发、运行、维护中有关活动、任务的框架,覆盖需求定义到使用终止
作用:为软件开发确定抽象层,并定义抽象层间的基本关系
6.4.1 瀑布模型

原理
-
自上而下,固定顺序
-
每一阶段工作成果的输出作为下一个阶段的输入
贡献
- 存在需求阶段,鼓励系统做需求规约
- 存在设计阶段,鼓励规划系统结构
- 每个阶段都有评审
- 前一步作为后一步被认可的、文档化、基线
存在问题
- 客户能够完整、正确、清晰地表达需求,开发能正确理解需求
- 需求具有不确定性,导致后续顺延
- 难以评估进度状态,在项目没结束前无法演示功能
- 过分强调基线、里程碑,花费更多时间建立用处不大的文档
6.4.2 增量模型
前提:需求可结构化
适用于 技术驱动 的软件开发

优点
- 第一个可交付版本所需时间少
- 很快发布第一个版本,减少用户需求变更
- 允许增量投资
缺点
- 没对用户变更要求进行规划,可能造成后来增量的不稳定性
- 需求不能像早期稳定和完整,那么可能重新开发
- 进度和配置复杂性,会增大管理成本
6.4.3 演化模型
全局软件生存周期开发模型,属于迭代开发方法,适用于 事先不能完整定义需求 的软件
第一次迭代(需求 -> 设计 -> 编码 -> 测试 -> 集成)-> 反馈 -> 第二次迭代 -> 反馈 -> …
优点
- 任何功能一经开发便进入测试,验证是否符合产品需求
- 帮助引导高质量产品要求
- 减少软件开发盲目性
不足:弱化需求分析 的工作
6.4.4 螺旋模型
瀑布模型和演化模型基础上,加入了 风险分析
强调风险分析,适用于庞大、复杂并具有高风险的系统

- 制定计划:确定软件目标,选定实施方案,弄清限制条件
- 风险分析:评估方案,识别和排除风险
- 实施工程:实现软件开发和验证
- 客户评估:评价开发工作,提出修改建议,制定下一步计划
特点:风险驱动,关注基本步骤
6.4.5 喷泉模型
以 用户需求 为动力,以 对象驱动,主要采用面向对象技术开发项目
喷泉模型认为:软件开发过程自下而上周期的各个阶段是相互迭代和无间隙的特性

6.5 过程规划管理
戴明环:Plan(计划)、Do(执行)、Check(检查)、Aaction(处理)
6.5.1 过程建立
- 选择生存周期模型
- 细化选择的生存周期模型
- 为每个活动、任务标识合适的实例数目
- 确定时序,并检查信息流
- 建立过程计划文档
成果:项目的过程计划
6.5.2 过程监控
- 软件生存周期过程的监控
- 过程改变所产生的影响的评估
- 改变的实施
- 实现改变
7 集成产品能力成熟度模型 CMMI
关注软件 过程途径 的改善问题,过程改善的框架
过程改善:改进组织过程性能和成熟度,并改进程序的结果
7.1 基本介绍
目的:帮助企业对软件工程过程管理和改进,增强开发与改进能力,从而能按时、不超预算地开发高质量软件
基本假设:产品质量受制于过程质量
质量支撑点:人员、规程和方法、工具和设备
7.2 模型部件
过程域
-
一个业务域中一束相关的实践
-
22 个过程域,分为四类:项目管理类、工程类、支持类、过程管理类
专用目标
-
有一个或多个
-
描述该过程域独有特征
-
用于确定过程域是否满足
专用实践:达到专用目标的重要活动
共用目标:用于多个过程域
典型工作产品:专用实践输出的样品
子实践:对专用实践、公用实践的详细描述
共用实践的精化:为共用实践唯一应用于一个过程域,提供相关指导
意图描述:描述过程域的意图
简介性解释:描述过程域所涉及的主要概念
相关过程域:过程域所引用的相关过程域,反映了过程域间的关系
7.3 CMMI 等级
能力等级:针对单一过程域不断改善该过程域
成熟度等级:针对一组过程域不断改善一组相关的过程域
7.3.1 能力等级
过程能力
- 过程可达预期的程度
- 对一个过程域的改善,不断改善过程域的一种手段
| 能力等级 | 描述 |
|---|---|
| 0 | 未完成级:过程不完整 |
| 1 | 已执行级:实现了特定目标 |
| 2 | 已管理级:跟踪费用、进度、功能特性等 |
| 3 | 已定义级:裁剪 |
| 4 | 量化管理级:统计控制的等级 3 的过程 |
| 5 | 持续优化级:改进等级 4 |
7.3.2 成熟度等级
一组过程域所有目标的一种过程改善等级
| 成熟度等级 | 描述 |
|---|---|
| 1 | 初始化级:过程是混乱的应付式的 |
| 2 | 已管理级:确保过程按照预定方针得到计划和执行 |
| 3 | 已定义级:过程得到很好的描述,并应用标准、规程、工具实现 |
| 4 | 量化管理级:建立量化目标,将其作管理过程的标准 |
| 5 | 持续优化级:持续改进过程 |
成熟度等级达到某个等级,则其所有过程域的能力等级都要达到
7.4 过程域举例
7.4.1 项目规划
意图:建立并维护活动计划的定义
| 专用目标 | 专用实践 |
|---|---|
| SG1:建立估算 | 估算规模、建立工作产品和任务属性的估算、定义生存周期、确定工作量和成本估计 |
| SG2:开发项目计划 | 建立预算和进度、标识风险、规划数据管理、规划项目资源、规划需要的知识和技术、规划利益攸关方的参与、建立项目计划 |
| SG3:获得对该计划的承诺 | 评审项目计划、调和工作和资源等级、获得计划承诺 |
| 共用目标 | 共用实践 |
|---|---|
| GG2:共用目标 2,对共用目标 1 的专用实践实施 PDCA | 建立组织策略、规划过程、提供资源、指派责任、培训人员、管理配置、标识相关利益方参与、监视过程、客观评估、高层管理视角评审状态 |
7.4.2 需求开发
意图:分析客户需求、产品需求、产品部件需求
| 专用目标 | 专用实践 |
|---|---|
| 开发客户需求 | 引出要求、开发客户需求 |
| 开发产品需求 | 建立产品和产品构建需求、分配产品配件需求、标识接口需求 |
| 分析并验证需求 | 建立操作概念和场景、建立所需功能的定义、分析需求、达到平衡、确认需求 |
2161

被折叠的 条评论
为什么被折叠?



