
VTK+其他布尔运算库
本文的主要内容:VTK内置的布尔运算类具有稳定性差、计算时间长等缺点,为了避免使用VTK内置的布尔运算,本文简单介绍了两个比较实用的库用于替代,主要涉及vtkBool和CGAL库的使用方法。哪些人适合阅读本文:有一定VTK基础的人。
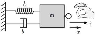
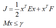
模型预测控制(MPC)
外骨骼机器人
四足机器人
机器人学
CANOpen
VTK
桌面软件
Matlab/Simulink
C/C++
Python
Electric Machines and Control 
