leetCode第144题 二叉树的前序遍历
链接:https://leetcode-cn.com/problems/binary-tree-preorder-traversal
给你二叉树的根节点 root ,返回它节点值的 前序 遍历。
示例 1:
输入:root = [1,null,2,3]
输出:[1,2,3]
示例 2:
输入:root = []
输出:[]
示例 3:
输入:root = [1]
输出:[1]
示例 4:
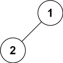
输入:root = [1,2]
输出:[1,2]
示例 5:
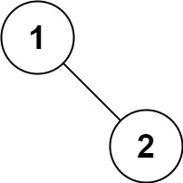
输入:root = [1,null,2]
输出:[1,2]
提示:
树中节点数目在范围 [0, 100] 内
-100 <= Node.val <= 100
进阶:递归算法很简单,你可以通过迭代算法完成吗?
二叉树的前序遍历:中->左->右
递归实现
当root为None时直接返回
先存储root的值
调用自身,遍历左子树
调用自身,遍历右子树
## python3
# Definition for a binary tree node.
class TreeNode:
def __init__(self, val=0, left=None, right=None):
self.val = val
self.left = left
self.right = right
class Solution:
def preorderTraversal(self, root: [TreeNode]) -> []:
result = []
self.accessTree(root, result)
return result
def accessTree(self,root: [TreeNode],result: list):
if root == None:
return
result.append(root.val)
self.accessTree(root.left,result)
self.accessTree(root.right,result)
迭代实现前序遍历
同样需要借助栈来实现,和中序遍历也高度相似
只需要将中序遍历的存储数值这一步提前到小while循环即可
## python3
class Solution:
def preorderTraversal(self, root: [TreeNode]) -> []:
result = [] ## 存放结果的列表
stack = [] ## 存放中间结点的栈
while root != None or len(stack) != 0: #只有root和栈都为空时才算遍历完
while root != None:
result.append(root.val)
stack.append(root)
root = root.left
root = stack.pop()
root = root.right
return result



1016

被折叠的 条评论
为什么被折叠?



