概述:
由于收集匹配的清晰和模糊图像的固有限制,基于先验和基于学习的方法诉诸于综合数据的训练; 由室内图像和相应的深度信息构建。在处理室外场景时,这可能会导致域转移。我们提出了一种通过最小化众所周知的暗通道先验 (DCP) 能量函数的完全无监督的训练方法。我们不使用合成数据向网络提供,而是仅使用真实世界的户外图像,并通过直接最小化DCP来调整网络的参数。尽管我们的 “深度DCP” 技术可以被视为DCP的快速逼近器,但它实际上可以显着改善其结果。这表明通过网络和学习过程获得了额外的正则化。实验表明,我们的方法与大规模监督方法相当。
提出方法:
无监督只使用真实世界的模糊图像以无监督的方式训练它们。 我们通过最小化无监督损失函数来优化网络的权重,本质上是暗通道先验 (DCP)的能量函数。 我们的网络可以看作是 DCP 的快速前馈逼近器
我们的网络基于上下文聚合网络 (CAN) 架构 ,从头开始进行端到端训练,不依赖于原始模糊图像之外的任何外部数据。 它提供预测的透射图作为输出,从中可以轻松地重建去雾图像。
一些方法使用更准确的室内深度信息来创建标记输入 。 然而,这种做法引导越来越多的研究努力优化室内性能,而除雾的主要需求实际上是在户外。
本文的贡献:
- 它在室外单幅图像去雾方面提供了最先进的结果,优于基于先验和完全监督的 CNN 方法
- 与经典 DCP 相比,它在室外 PSNR 中实现了令人印象深刻的 ∼ 6.5dB 提升,验证了有效的正则化。
- 它成功地处理了 DCP 通常失败的天空。
- 它是第一个在单张图像去雾中执行无监督训练的,减少了对合成数据的需求。
- 它不需要像 DCP 那样对每个图像进行显式优化,而是在训练期间学习底层变换,在测试期间需要快速前向传递。
- 它提供了一种通用的能量函数无监督训练方法,可以应用于任何成功的能量函数
网络架构
系统架构。我们的全卷积网络接收真实世界的模糊图像。除了输入和输出层,我们的网络是级联的扩张残差块(扩张写在每个块之上),逐渐增加感受野。网络的预测传输和输入图像被馈送到无监督的 DCP 损失。
因此,网络被构建为 6 个扩展残差块的级联; 每个由两个常规卷积组成,然后是一个空洞卷积。 从一个块到下一个块,膨胀因子增加了 2 的幂。 所有卷积层(除了输出)的滤波器大小和宽度为 3 × 3 × 32。所有常规卷积之后是批归一化 和 ReLU 非线性,所有空洞卷积之后是批范数。 最后一层是对传输图 1×1×1 的输出维度的线性变换。 为了改善梯度流并将更精细的细节传播到输出,我们在每个块的输入和输出之间加入了额外的 Resnet 样式 跳过残差连接。 跳过连接是将输入简单地添加到每个块的输出。
网络完成训练后,可以通过前向传递操作获得新的朦胧图像的传输图t θ(x)。这用于通过 大气散射模型中的雾霾形成模型恢复场景辐射:

其中,不鼓励除以接近零的数字的 t0 设置为 t0 = 0.1,如 [3] 中所建议的那样。 为了恢复丢失的空气光分量 A,我们遵循 DCP 中建议的方法:我们首先在模糊图像的暗通道中选择 0.1% 最亮的像素。 然后,我们从这些位置中挑选出朦胧图像中最亮的像素 。这就是最终选择的大气光 A。
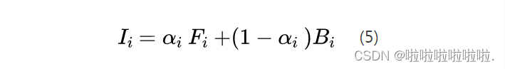
Soft Matting
大气散射模型中的雾霾模型和《A closed form solution to natural image matting》中的image matting组成模型很相似,其中αi是像素前景不透明读

其输出图像是一个前景图像F与背景图像B的凸线性组合,受控于α
[0,1]。用t‘(x)替换α

式(6)的第一项有利于成功抠图,第二项代表暗通道的保真度。
确定二者之间的关系程度,
可以取10-4。
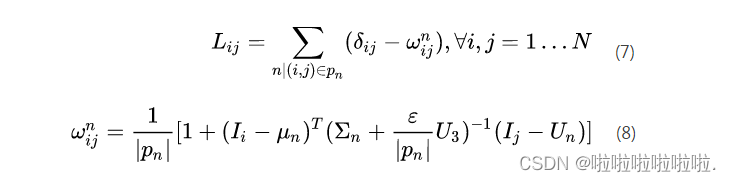
是类拉普拉斯矩阵,


损失函数的实现
将(6)式中的第一项可以通过拉普拉斯矩阵分解,通过(8)中给出的权重,改写成更为Tensor-friendly(友好张量)的格式,

我们对生成的传输图 t 中 N 个像素周围的所有重叠补丁以及给定 3 × 3 补丁中像素对 i、j 的所有可能组合求和。组合的最大数量为(32)·(32)=81。我们可以矢量化这个术语
可以将这项连同保真项一起向量化:

W 是权重的矢量化版本,TI, TJ是输出传输图的重复
可以基于式(10)的损失函数来训练网络参数预测的传输图
。这一问题就转化为基于只包含雾霾图像的训练集
:

m是图像的数量。损失模块的输入输出图如图 :
我们的损失模块,它接收网络的预测tθ和模糊图像I,并输出DCP能量损耗的值(损失值)

实验结果:

&spm=1001.2101.3001.5002&articleId=124734808&d=1&t=3&u=1a23b7248b7b4292967ab24f4853bc40)
1424

被折叠的 条评论
为什么被折叠?



