问题描述
给定一个有序链表的头节点,删除该有序链表的所有重复节点,使每个节点只显示一次,并返回删除重复节点后的有序链表。
示例

Input: head = [1,1,2]
Output: [1,2]
- 示例2

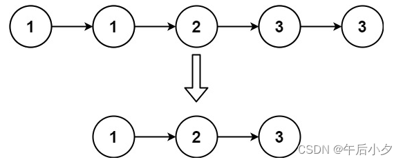
Input: head = [1,1,2,3,3]
Output: [1,2,3]
解决方案描述
- 判断头节点是否为空,如果为空,则返回空。
- 设定一个新的链表节点和链表头节点,并且都指向头节点。
设定一个当前节点,指向头节点的下一个节点,头结点的值赋给一个变量。 - 循环链表中每个节点,执行下面的操作:
- 如果当前节点不为空,并且该节点的值和变量值相等,则当前节点指向将当前节点的下一个节点,
直到当前节点为空或当前节点的值不等于变量的值,才往下执行。 - 如果当前节点不为空,将新链
- 如果当前节点不为空,并且该节点的值和变量值相等,则当前节点指向将当前节点的下一个节点,

本文介绍了如何删除有序链表中的重复节点,通过遍历链表并比较相邻节点值来实现,最终返回一个没有重复节点的有序链表。提供了详细的问题描述、示例输入输出以及解决方案描述,代码实现链接见正文。
最低0.47元/天 解锁文章
1031

被折叠的 条评论
为什么被折叠?



