问题描述
给定一个2叉树的根,判断是否为对称树。沿中心对称。
示例

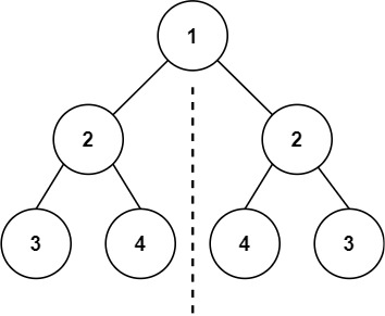
Input: root = [1,2,2,3,4,4,3]
Output: true

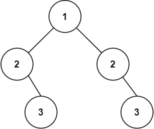
Input: root = [1,2,2,null,3,null,3]
Output: false
解决方案描述
- 判断根节点是否为空,如果为空,则返回真。 将根节点压入栈中,并将根节点设为当前节点。
- 如果栈非空,则循环执行下面的操作:
- 如果当前节点为根节点,弹出栈中节点,赋值给当前节点,如果当前节点的左右节点均为空,则返回真,
如果其中一个为空节点,则返回假,否则,将该节点的左子节点赋值给左节点变量,右子节点赋值给右节点变量,
当前节点设为空。 - 弹出栈中元素,赋值给左节点变量,弹出栈
- 如果当前节点为根节点,弹出栈中节点,赋值给当前节点,如果当前节点的左右节点均为空,则返回真,

该博客介绍了一种使用C#解决LeetCode上的问题——判断给定的二叉树是否是对称的。通过递归或栈的方式检查树的左右子节点是否对称,提供了详细的过程描述和代码实现。
最低0.47元/天 解锁文章
290

被折叠的 条评论
为什么被折叠?



