问题描述
给定一个整数数组,其元素为先序排列,将其转换为高度平衡的二叉查找树。
示例
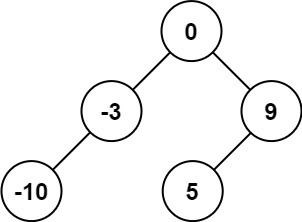
示例1

Input: nums = [-10,-3,0,5,9]
Output: [0,-3,9,-10,null,5]
Explanation: [0,-10,5,null,-3,null,9] is also accepted:

示例2

Input: nums = [1,3]
Output: [3,1]
Explanation: [1,null,3] and [3,1] are both height-balanced BSTs.
解决方案描述
有序数组的中间点即二叉查找树的根节点,将有序数组从中间位置分为左右两部分,左边部分为根节点的左子节点部分,右边部分为右子节点部分。递归左边部分和右边部分,即可得到二叉查找树。
- 如果数组长度为空&#

给定一个先序排列的整数数组,将其转换为高度平衡的二叉查找树。通过找到有序数组的中间点作为根节点,递归处理左右子数组来构建树。示例包括输入和输出的解释。
最低0.47元/天 解锁文章
1326

被折叠的 条评论
为什么被折叠?



