问题描述
给定一棵二叉树,判断其是否为平衡二叉树。
示例
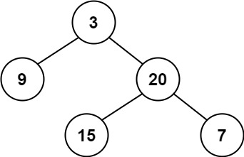
示例1

Input: root = [3,9,20,null,null,15,7]
Output: true
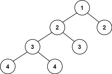
示例2

Input: root = [1,2,2,3,3,null,null,4,4]
Output: false
解决方案描述
二叉树的每个节点的左子节点和右子节点的高度差小于等于1,则为平衡二叉树。
- 当前节点为空,则返回真。
- 计算当前节点的左子节点和右子节点的高度。
- 如果当前节点的左子节点的高度和右子节点的高度差大于1,则返回假。
- 否则判断其左子节点和右子节点对应的二叉树是否为平衡二叉树,
如果左右子节点对应的二叉树都为平衡二叉树,这返回真,否则返回假。
具体代码见下面的链接

6452

被折叠的 条评论
为什么被折叠?



