问题描述
给定一颗二叉树,求其最小深度。
最小深度是指从根节点到最近的叶子节点的节点数。
示例
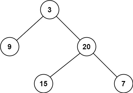
示例1

Input: root = [3,9,20,null,null,15,7]
Output: 2
示例2
Input: root = [2,null,3,null,4,null,5,null,6]
Output: 5
解决方案描述
- 判断当前节点是否为空节点,如果是,则返回0。
- 如果当前节点的左子节点和右子节点为空节点,则返回1。
- 递归求出当前节点的左子节点的最小深度和右子节点的最小深度。
- 如果当前节点的左子节点的最小深度为0,则返回当前节点的右子节点的最低深度加1。
- 如果当前节点的右子节点的最小深度为0,则返回当前节点的左子节点的最低深度加1。
- 返回当前节点的左子节点和右子节点中较小的值加1。
具体代码见下面的链接

3073

被折叠的 条评论
为什么被折叠?



