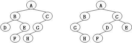
给定两棵树T1和T2。如果T1可以通过若干次左右孩子互换就变成T2,则我们称两棵树是“同构”的。例如图1给出的两棵树就是同构的,因为我们把其中一棵树的结点A、B、G的左右孩子互换后,就得到另外一棵树。而图2就不是同构的。
图1
图2
现给定两棵树,请你判断它们是否是同构的。
输入格式:
输入给出2棵二叉树树的信息。对于每棵树,首先在一行中给出一个非负整数NN (\le 10≤10),即该树的结点数(此时假设结点从0到N-1N−1编号);随后NN行,第ii行对应编号第ii个结点,给出该结点中存储的1个英文大写字母、其左孩子结点的编号、右孩子结点的编号。如果孩子结点为空,则在相应位置上给出“-”。给出的数据间用一个空格分隔。注意:题目保证每个结点中存储的字母是不同的。
输出格式:
如果两棵树是同构的,输出“Yes”,否则输出“No”。
输入样例1(对应图1):
8
A 1 2
B 3 4
C 5 -
D - -
E 6 -
G 7 -
F - -
H - -
8
G - 4
B 7 6
F - -
A 5 1
H - -
C 0 -
D - -
E 2 -
输出样例1:
Yes
输入样例2(对应图2):
8
B 5 7
F - -
A 0 3
C 6 -
H - -
D - -
G 4 -
E 1 -
8
D 6 -
B 5 -
E - -
H - -
C 0 2
G - 3
F - -
A 1 4
输出样例2:
No
思路:我们考虑用静态链表的方式也就是数组存储树简单一点,因为此题节点与节点之间是有下标关系的,输入的顺序就是节点的编号,某个节点的保存了左右子树的下标,所以可以通过下标访问数组的方式得到它的左右子树。还有一个需要解决的问题就是我们判断两棵树是否同构,首先要找到它的根节点才能进行下面的比较,从输入的数据以及图中可以发现根节点是没有节点指向它的,所以我们用check数组保存所有节点的指向(下标)置为0,每次从输入中获取到指向后,将指向的数组位置置为1,最后没有被指到的位置的节点即为根节点。
#include<stdio.h>
#define MaxTree 10
#define Null -1 //将Null定义为-1而不能是0,因为数组下标为0的地方仍保存有节点
typedef char ElementType;
typedef int Tree;
struct TreeNode{ //定义二叉树节点
ElementType Data;
Tree Left;
Tree Right;
}T1[MaxTree],T2[MaxTree];
int N,check[MaxTree]; //check数组用于寻找树的根节点
Tree BuildTree(struct TreeNode T[]){
int Root=Null,i; //刚开始将节点置为空,若为空树的时候可返回Null
char cl,cr;
scanf("%d",&N);
if(N){ //如果不为空树的话
for(i=0;i<N;i++) check[i]=0; //将check数组置为0
for(i=0;i<N;i++){
scanf("\n%c %c %c",&T[i].Data,&cl,&cr); //把换行符放在前面吃掉前面scanf后的回车,而最后一个scanf不能有回车,一举两得
if(cl!='-'){
T[i].Left=cl-'0';
check[T[i].Left]=1;
}
else
T[i].Left=Null;
if(cr!='-'){
T[i].Right=cr-'0';
check[T[i].Right]=1;
}
else
T[i].Right=Null;
}
for(i=0;i<N;i++)
if(!check[i]) break;
Root=i;
}
return Root;
}
int Isomorphic(Tree R1,Tree R2){
if((R1==Null)&&(R2==Null)) //如果为空树则是同构的
return 1;
if(((R1==Null)&&(R2!=Null))||((R1!=Null)&&(R2==Null)))//如果一个为空一个不为空则不是同构的
return 0;
if((T1[R1].Data)!=(T2[R2].Data))//如果数据不同则不是同构的
return 0;
//如果左儿子都为空判断右儿子是否同构:主要看以上三个方面(1)右儿子是否都为空(2)是否一个有右儿子一个没有(3)右儿子数据是否相同
if((T1[R1].Left==Null)&&(T2[R2].Left==Null))
return Isomorphic(T1[R1].Right,T2[R2].Right);
/* 如果两棵树左儿子都不为空并且数据还是一样的,对左儿子进行递归*/
if ( ((T1[R1].Left!=Null)&&(T2[R2].Left!=Null))&&((T1[T1[R1].Left].Data)==(T2[T2[R2].Left].Data)) )
return ( Isomorphic( T1[R1].Left, T2[R2].Left )&&Isomorphic( T1[R1].Right, T2[R2].Right ) );
/* 如果两棵树左儿子(一个空一个不空或者都不空)并且数据不一样,那么判断第一棵树的左(右)儿子是否跟第二棵树的右(左)儿子同构 */
else
return ( Isomorphic( T1[R1].Left, T2[R2].Right)&&Isomorphic( T1[R1].Right, T2[R2].Left ) );
}
int main(){
Tree R1,R2; //首先建立两棵树,R1,R2为树的根节点
R1=BuildTree(T1);
R2=BuildTree(T2);
if(Isomorphic(R1,R2)) //Isomorphic函数判断是否同构
printf("Yes\n");
else printf("No\n");
return 0;
}
569

被折叠的 条评论
为什么被折叠?



