一、Beta分布
从统计机器学习角度上讲,对于某个事件发生的概率,我们一般会假设其服从某一种先验分布。
举个例子,在棒球里可以把击球当做随机事件,只有击中和没击中两种状态,衡量棒球运动员职业技能的一个指标就是棒球击球率(运动员击中的球数/总击球数),一般认为职业棒球运动员的击球率在0.25-0.3之间,如果击球率能达到0.3以上就可以认为是非常优秀的运动员了。
我们现在希望预测某棒球运动员在新赛季中的击球率。你可以直接以新赛季的击中数/击球数来估计,但这会有一个问题,如果现在是新赛季第一场,他就出场一次就直接出局了,那他的击球率就是0%了?这显然不合理,合理的估计运动员的击球率,需要考虑他的历史信息,如上赛季的击球率,这就是先验信息,而这个先验符合贝塔分布:
其中
我们可以查到该运动员上赛季,共击球100次,其中击中20次,没击中80次。这样我们就有了贝塔分布的参数
根据改运动员上赛季的成绩,可以得出其是否能击中的先验概率p=alpha/(alpha+beta)=20/(20+80)=0.2,从上图可以看出他能否击中的概率一般会保持在0.2附近。
那假如该运动员新赛季击球10次,击中3次,那可以认为其击中求的概率为(3+20)/(10+20+80)=0.2091>0.2,而不是3/10=0.3。 有了这样一个先验的参数,计算出的命中率会更加平稳,更符合常理。
二、CTR预估
一般可以用一个简单的公式来计算CTR,CTR=click/view,但是直接这样计算有一个很明显的问题, 主要是对于一些新广告或展示很少的广告,比如一个新广告, 如果展示了2次,点击了1次,我们能否直接认为其CTR为1/2=0.5,而另一个广告,如果其展示了10次,点击了0次,能否直接认为其CTR=0/10=0?这显然不合理, 这个结果会对模型造成很大的误导。
根据前面对Beta分布的介绍,其实CTR任务也可以用Beta分布来估计,那根据前面介绍,对于一个广告,其CTR计算可以用如下公式,CTR=(click+alpha)/(view+alpha+beta),那问题来了,我们如何计算出alpha和beta呢? 下面介绍两种方法:矩估计和 Yahoo! Smooth。
三、矩估计
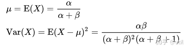
根据beta分布的公式,其期望值和方差可以用如下公式计算:
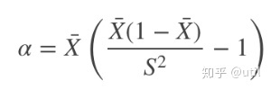
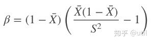
计算如下公式,可以得出
其中X¯是样本均值,S^2是样本方差,这两个值可以通过计算一段时间广告的点击率的均值和方差得到,这样alpha和beta就可以直接计算出来了。
四、Yahoo! Smooth
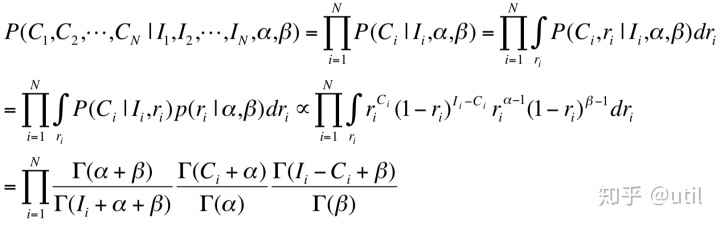
首先做两个假设,认为CTR服从beta分布;对于某一广告,给定展示次数时和它自身的ctr,它的点击次数服从一个伯努利分布。
那对于N个广告,其似然函数可以写成如下形式,
然后计算其梯度:
迭代终止条件一般可以设为迭代该算法1000次或delta_alpha和delta_beta的变化小于1E-10(deta_alpha和deta_beta表示alpha和beta的变化值),这样计算出最后的alpha和beta。
参考文献:https://zhuanlan.zhihu.com/p/33348118
2万+

被折叠的 条评论
为什么被折叠?



