坐标系构成
数控车床采用平面坐标系,由控制直径方向的X轴和长度方向的Z轴垂直交叉构成,交叉点为编程零点。零点把两轴分成4个半轴,其中X下半轴与Z右半轴为正轴,向这两半轴运动为正向。X上半轴与Z左半轴为负轴,向这两半轴运动为负向。
编程零点的选择
有两种方式:一,零点设置在工件端面上,如A图;二,零点设置在卡盘端面上,如B图O
(A) (B)
在切削过程中,刀尖不过中心X向为正数,如A图:,工件端面为Z0,
中心为X0为编程零点
如B图:卡盘端面为Z0, 工件中心为X0为编程零点。
程序的构成
例:O115,(此为程序名, 字母O加四位数)
M03 S800 T0101
G00 X50 Z1
G01 Z-100 F0.1
G00 X100 Z100
M05
1, S表示转速,如需500转,编S500。
2, T表示刀具,如T0101,前面01为刀具号,后面01为刀补号。
3, M表示辅助功能:M03主轴正转,M04主轴反转,M05主轴停止,
M08冷却开,M09冷却关,M00程序暂停,M30程序结束。
4, G表示准备功能。
5,F表示进给率,在G98时表示分进给,G99时表示转进给。
准备功能
1,快速移动G00
使用场合:快速进刀与快速退刀,空运行的情况下
指令形式:G00 X__ Z__
在G00 X__:情况下,表示X轴运动,Z轴不运动。
在G00 Z__:情况下,表示Z轴运动,X轴不运动.
在G00 X__ Z__:情况下,表示双轴联动,此时为斜线运动,运动规律先按45度运动,然后走剩余轴的剩下尺寸。
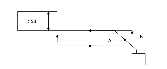
C
A线路:G00 X50 Z0
B线路:G00 X50
Z0
C线路:G00 Z0
X50
2, 直线插补 G01
用于直线加工,如车端面、外圆、锥度等。
指令形式: GO1 X__ Z__ F__
G01 X__ F__ 加工端面方向形式
G01 Z— F__ 加工外圆内孔方向形式
G01 X__ Z__ F__ 加工锥度形式
车端面:
G00 X32 Z0
G01 X0 F120
¢30
车外圆:
G00 X35 Z2
¢35
G01 Z-80 F120
80
车锥度:

这篇博客介绍了广数980TD数控系统的编程和操作,包括坐标系构成、编程零点的选择、程序构成及各种功能指令,如G00、G01、G02、G03等,详细阐述了自动模式下的暂停、进给率、刀尖半径补偿等,并提供了实际加工程序示例。同时,还涵盖了对刀步骤和程序的输入、选择与修改方法。
最低0.47元/天 解锁文章

被折叠的 条评论
为什么被折叠?



