给定一个链表,判断链表中是否有环。
为了表示给定链表中的环,我们使用整数 pos 来表示链表尾连接到链表中的位置(索引从 0 开始)。 如果 pos 是 -1,则在该链表中没有环。
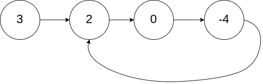
示例 1:
输入:head = [3,2,0,-4], pos = 1
输出:true
解释:链表中有一个环,其尾部连接到第二个节点。

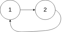
示例 2:
输入:head = [1,2], pos = 0
输出:true
解释:链表中有一个环,其尾部连接到第一个节点。

示例 3:
输入:head = [1], pos = -1
输出:false
解释:链表中没有环。

直接上代码,算法思想在代码注释中体现,注意这里给出的只是算法,并不是完整的程序,上面示例的输入输出都没有体现。
/** * Definition for singly-linked list. * class ListNode { * int val; * ListNode next; * ListNode(int x) { * val = x; * next = null; * } * } */ /*算法思想:使用快慢指针相遇解决是否存在环的问题*/ public class Solution { public boolean hasCycle(ListNode head) { if(head==null)//头指针为空 return false; ListNode fast=head.next; ListNode slow=head; while(fast!=null&&fast.next!=null) { fast=fast.next.next;//快指针 slow=slow.next;//慢指针 if(fast==slow)//相遇,则一定存在环,否则慢指针根本跟不上快指针 return true; } return false; } }
本文介绍了一种使用快慢指针技术检测链表中是否存在环的高效算法。通过实例展示了当链表尾部连接到链表中的某个节点时,如何判断链表中是否存在环。此算法适用于多种链表结构,包括单链表。
4253

被折叠的 条评论
为什么被折叠?



