原标题:量子化学计算在反应机理确证中的应用
反应机理在有机化学上具有重要的意义。通过反应机理,可以(1)寻找有机反应的规律,以优化反应效率,提高反应产率;(2)设计新的反应,以扩展反应的使用范围等等。完整的反应机理通常需要考虑键的断裂和生成以及对应的过渡态的形成,有时还需要考虑到催化剂、反应的立体化学等。目前,实验上虽然可以对反应机理进行一定的确证,但却很难确证反应过程中的过渡态结构。近年来,随着量子化学计算的发展,密度泛函理论DFT技术已经成为确证有机反应机理的一种有力手段。接下来,本文将选取两个实例来说明量子化学计算在反应机理确证中的应用。
1
量子化学计算确证安息香缩合反应的反应机理
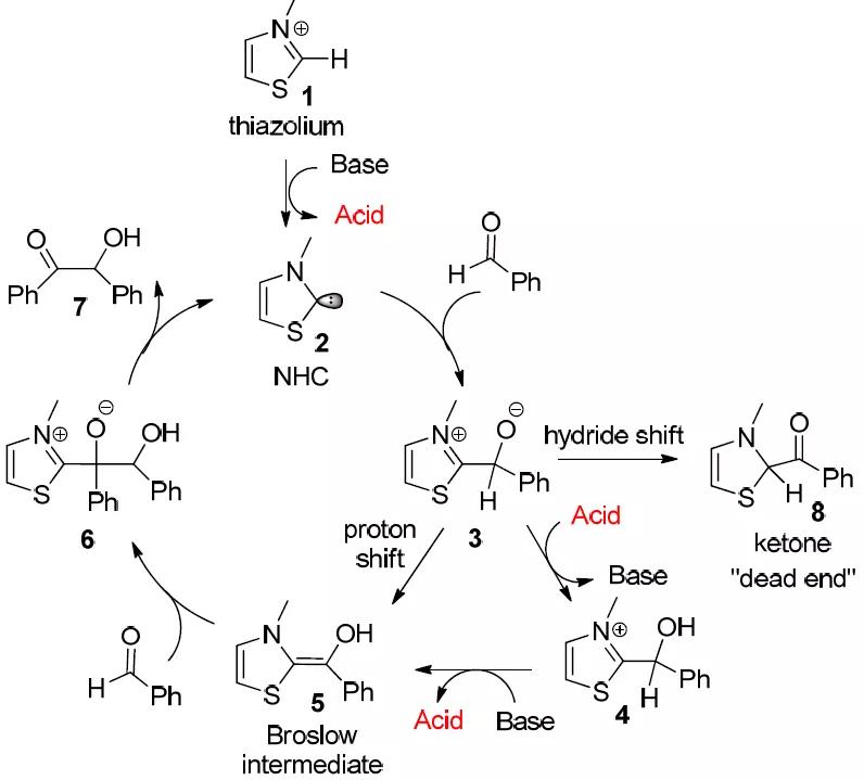
安息香缩合反应的催化循环中包含两步亲核加成过程(如图1所示),即卡宾加成和碳-碳键形成过程。在此过程中,亲核试剂转移部分电子给亲电试剂,使得亲核试剂带部分正电荷,而亲电试剂带部分负电荷。因此原位产生的酸就能通过氢键与亲电试剂(苯甲醛)的氧作用,就能中和亲电试剂所带的负电荷,从而降低活化能垒。

图1. 安息香缩合反应的机理
图片来源于J. Am. Chem. Soc.
DFT计算方法被用于计算上述反应机理。图2给出了以自由卡宾2为起点的安息香缩合反应的势能曲线。以三甲胺为碱的计算结果与Leeper对噻唑盐和三乙胺催化的安息香缩合的动力学实验在定性上相符合。去质子化和碳-碳键加成的能垒分别为23.9和20.1 kcal/mol,这也与实验上估计这两步都是部分的决速步骤相一致;质子化的中间体4TMA在势能面上以势井存在,这也就解释了为什么实验上能检测到质子化的中间体;中间体4TMA的自由能比Breslow中间体5要低10.4 kcal/mol,这也与实验上估计的6 kcal/mol接近。
对势能曲线进一步分析,可以发现酸和碱在催化过程中起到了质子传递的作用,可以把酸对反应势能面的影响分为两个阶段。第一个阶段为2→5,即卡宾与苯甲醛加成形成Breslow 中间体的过程(卡宾加成),该过程适用于任何氮杂环卡宾催化的极性反转反应。在此过程中,酸降低了卡宾与苯甲醛加成的过渡态的能量,同时还通过质子化-去质子化的过程降低了质子迁移的能垒。第二个阶段为5→7,即Breslow中间体与另一分子苯甲醛加成形成产物的过程(碳-碳键形成)。在此过程中,酸起到了相似的作用,但由于Breslow中间体本来就含有较活泼的质子,酸的影响弱于第一个阶段。这里所给的例子是分子间的反应,碳-碳键形成的反应能垒高于卡宾加成,酸对整体势能面的总能垒的影响不是很明显,所以对于这类反应,强碱和弱碱条件没有明显差别。而对于碳-碳键形成的反应能垒低于卡宾加成的反应,如分子内的反应或强亲电试剂的反应,酸对整体势能面的总能垒的影响较大,该类反应更趋向于在弱碱条件(对应于强的共轭酸)下发生。

图2. 安息香缩合反应的势能图。所给能量为相对自由能(kcal/mol)和电子能量(括号中,kcal/mol)
图片来源于J. Am. Chem. Soc.
2
量子化学计算确证锌催化的炔烃氧化/碳-氢官能团化的反应机理
金属卡宾是一种多功能的活性中间体,广泛涉及于各种合成转化。传统制备金属卡宾的方法往往依赖于重氮化合物或相关衍生物的分解。然而,重氮化合物通常具有危险性和潜在的爆炸性。近年来,人们发现,金催化分子内或分子间的炔烃氧化可以获得α-羰基金属卡宾。其中,分子间氧化策略显然更为灵便具有更高的合成学意义。2010年,L. M. Zhang实验室以吡啶氮氧化物为氧化剂, 率先实现金催化下炔烃分子间氧化制备α-羰基金卡宾中间体,并成功地应用于氧-氢/氮-氢插入、1, 2-氢迁移合成α,β-不饱和羰基化合物、碳-氢插入、烯烃的环丙烷化和从溶剂分子提取卤素等一系列金卡宾有机反应。然而,该策略有一个难以避免的缺陷,就是强亲电活性的金卡宾中间体更易与吡啶氮氧化物氧化剂反应而时常导致过度氧化副反应。新近,叶龙武课题组发现非贵金属锌不仅能高效催化此类分子间炔烃氧化,实现金属卡宾对分子内苯基的碳-氢官能团化,同时亦有效地抑制过度氧化副反应(如图3所示)。

图3. 金属Zn催化炔烃氧化/碳-氢键官能团化
图片来源于Angew. Chem., Int. Ed.
基于DFT计算方法,上述的锌催化的炔烃氧化/碳-氢官能团化的反应机理被描述。计算的反应机理如图4所示,首先,氮氧化物3a选择性地亲核进攻锌活化的炔酰胺复合物A的C1位形成锌取代的烯烃B,而2,6-二溴吡啶很容易离去给出被苯基稳定的碳正离子中间体C。接下来,分子内的N-苄基而不分子间的氮氧化物3a对碳正离子位点的亲核进攻是动力学有利的过程,进而形成中间体D。最后,中间体D厉经芳构化、烯醇化、质子化和配体交换给出最终产物2a,这些步骤几乎没有能垒且高度放热。

图4. 以2,6-二溴吡啶氮氧化物为氧化剂的锌催化的炔烃氧化/碳-氢官能团化合过度氧化在室温下的自由能变化图
图片来源于Angew. Chem., Int. Ed.
参考文献:
(1) Generation of α-Imino Gold Carbenes through Gold-Catalyzed Intermolecular Reaction of Azides with Ynamides. J. Am. Chem. Soc. 2015, 137, 9567–9570.
(2) Zinc-Catalyzed Alkyne Oxidation/C-H Functionalization: Highly Site-Selective Synthesis of Versatile Isoquinolones and β-Carbolines. Angew. Chem., Int. Ed. 2015, 54, 8245-8249.返回搜狐,查看更多
责任编辑:
585

被折叠的 条评论
为什么被折叠?



