常微分方程是微积分学方程中常见的,应用非常广泛的方程,下面就来讨论常微分方程中最简单的变量分离微分方程。
设一阶微分方程式:
其中f(x,y)是给定的函数,我们要做的工作是求微分方程的解y=y(x),可是一般不能用初等方法来解出这个微分方程,但是当微分方程的右端f(x,y)取某几种特殊的类型时,就可用初等积分法求解。
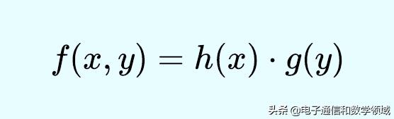
本篇讲一个重要的特殊情形
此时开篇中的微分方程就变成了
这样的方程称之为变量分离的方程。<
本文介绍了常微分方程中一种特殊类型的方程——变量分离微分方程,通过两种情况讨论了如何利用初等积分法求解,并给出了解的通式,涉及了隐函数方程的概念。
常微分方程是微积分学方程中常见的,应用非常广泛的方程,下面就来讨论常微分方程中最简单的变量分离微分方程。
设一阶微分方程式:
其中f(x,y)是给定的函数,我们要做的工作是求微分方程的解y=y(x),可是一般不能用初等方法来解出这个微分方程,但是当微分方程的右端f(x,y)取某几种特殊的类型时,就可用初等积分法求解。
本篇讲一个重要的特殊情形
此时开篇中的微分方程就变成了
这样的方程称之为变量分离的方程。<
578
2028
761

被折叠的 条评论
为什么被折叠?