一:定义
作为选择排序的改进版,堆排序可以把每一趟元素的比较结果保存下来,以便我们在选择最小/大元素时对已经比较过的元素做出相应的调整。
二:堆排序算法
作为选择排序的改进版,堆排序可以把每一趟元素的比较结果保存下来,以便我们在选择最小/大元素时对已经比较过的元素做出相应的调整。
堆排序是一种树形选择排序,在排序过程中可以把元素看成是一颗完全二叉树,每个节点都大(小)于它的两个子节点,当每个节点都大于等于它的两个子节点时,就称为大顶堆,也叫堆有序; 当每个节点都小于等于它的两个子节点时,就称为小顶堆。


下面是我们要保存在数组中的堆的形式

二:堆排序算法
1.将长度为n的待排序的数组进行堆有序化构造成一个大顶堆 2.将根节点与尾节点交换并输出此时的尾节点 3.将剩余的n -1个节点重新进行堆有序化 4.重复步骤2,步骤3直至构造成一个有序序列三:图解演示,构造堆(大顶堆)
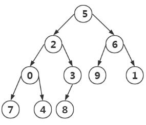
{5, 2, 6, 0, 3, 9, 1, 7, 4, 8}
在构造有序堆时,我们开始只需要扫描一半的元素(n/2-1 ~ 0)即可,为什么?
因为(n/2-1)~0的节点才有子节点,如图1,n=8,(n/2-1) = 3 即3 2 1 0这个四个节点才有子节点
第一次找到[n/2]处,进行构造:

我们比较父节点,左右孩子结点的大小,将最大的作为堆顶
第二次,我们对上次找到位置-1即可,找到结点0,对其左右孩子比较,构造这三个结点的最大堆

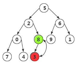
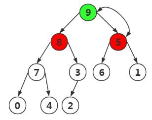
第三次,我们找到结点6,要对其进行构造,结果如下

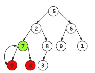
第四次(重点),我们不止要构造双亲和左右孩子,我们还要比较其孩子结点为根的堆是否正确,不然我们需要进行调整

我们发现将8,7,2三个结点变为了最大堆,但是其中2,3子树不再是一个最大堆,我们需要对其修改

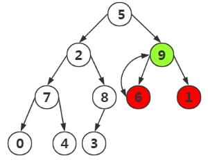
第五次:选取结点9进行构造

发现以结点5为根的子树不是最大堆,我们需要进行调整

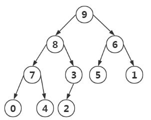
完成最大堆的构建

四:图解演示:堆排序(堆存储在数组中)
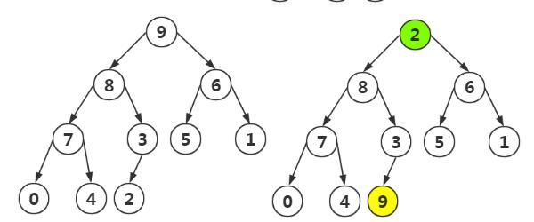
第一步:将最大值和最后的一个元素交换

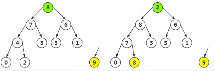
第二步:将剩余的结点再次进行堆构造

第三步:参照第一步

按照上面循环,最终结果为

五:代码实现
void swap(int K[], int i, int j){ int temp = K[i]; K[i] = K[j]; K[j] = temp;}//大顶堆的构造,传入的i是父节点void HeapAdjust(int k[],int p,int n){ int i,temp; temp = k[p]; for (i = 2 * p; i <= n;i*=2) //逐渐去找左右孩子结点 { //找到两个孩子结点中最大的 if (i < n&&k[i] < k[i + 1]) i++; //父节点和孩子最大的进行判断,调整,变为最大堆 if (temp >= k[i]) break; //将父节点数据变为最大的,将原来的数据还是放在temp中, k[p] = k[i]; //若是孩子结点的数据更大,我们会将数据上移,为他插入的点提供位置 p = i; } //当我们在for循环中找到了p子树中,满足条件的点,我们就加入数据到该点p,注意:p点原来数据已经被上移动了 //若没有找到,就是相当于对其值不变 //插入 k[p] = temp;}//大顶堆排序void HeapSort(int k[], int n){ int i; //首先将无序数列转换为大顶堆 for (i = n / 2; i > 0;i--) //注意由于是完全二叉树,所以我们从一半向前构造,传入父节点 HeapAdjust(k, i, n); //上面大顶堆已经构造完成,我们现在需要排序,每次将最大的元素放入最后 //然后将剩余元素重新构造大顶堆,将最大元素放在剩余最后 for (i = n; i >1;i--) { swap(k, 1, i); HeapAdjust(k, 1, i - 1); }}int main(){ int i; int a[11] = {-1, 5, 2, 6, 0, 3, 9, 1, 7, 4, 8 }; HeapSort(a, 10); for (i = 1; i <= 10; i++) printf("%d
堆排序是一种树形选择排序,通过构建大顶堆或小顶堆进行元素的排序。文章详细介绍了堆排序的定义、算法原理,并通过图解演示了如何构造堆和进行堆排序的过程,同时提供了代码实现。
2046

被折叠的 条评论
为什么被折叠?



