嗨咯各位朋友!鸽了太久,还记得我咩?
首先说声抱歉,因为学业繁忙,所以就没再写下去了.(毕竟我对我的学业还是比较认真的,不管是主修还是选修(´ . .̫ . `))
emmmmmm扯远了,还是进入正题
引入
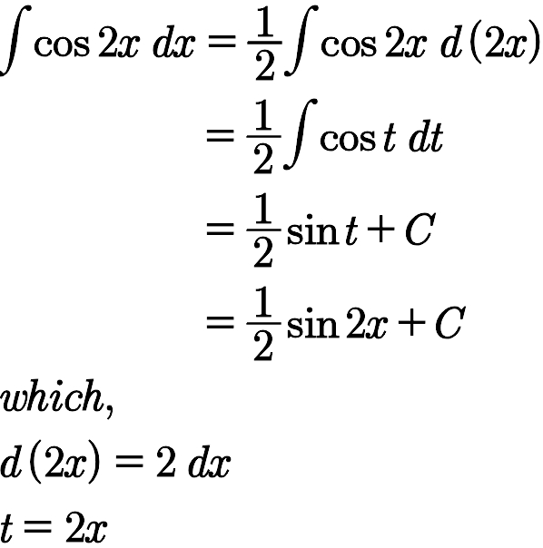
我们先来回顾一下,求
可能大家的反应是:换元!
没错,这道题用换元法的确可以很快做出来。
但是,还有其他的解法,即凑微分法:(为了方便理解,我引入了中间量t,实际解题过程中我们没有必要引入这个量)
好的我们来解读上面的过程:
首先我们凑了微分,关注这个dx是如何变成d(2x)的
在前面学导数的时候,我们知道导数可以用d[f(x)]/dx表示,即
所以有d(2x)=2 dx,即dx=d(2x)/2
于是代入,就有
接下来就是很简单的解积分了。
(其实凑微分法本质还是换元)
提升
我们不可能停留在上面的例题,那道题太简单了
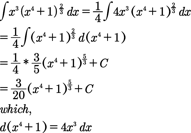
例1.求
过程如下:
解析:
首先我们要关注x∧4+1,因为它的导数就是4x∧3
因此就有
于是dx=d(x∧4+1)/4x∧3,代入就转换成解幂函数的积分问题了
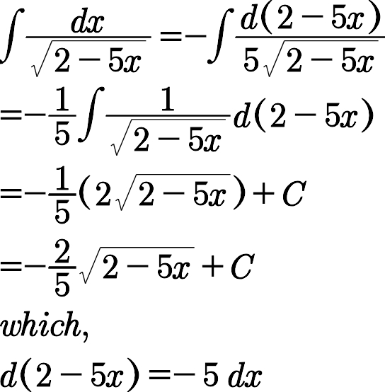
例2.求
看起来有些复杂,其实方法还是一样的:
来看以上的过程,关注2-5x
对它求导 即d(2-5x)=-5 dx
也就是dx=-d(2-5x)/5,代入就转换为解幂函数的问题
是不是很简单?下面的例题就有难度了。
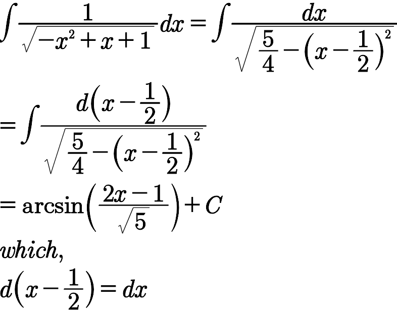
例3.求
首先看到这个积分,你会怎么凑微分?是把-x∧2+x+1看做一个整体然后求导?好像不行吧......
我是这么解的:
是不是很懵逼?没事,且听我分解。
首先我把这个被积函数进行恒等变换,在这里也就是将分母配方了(配方法是初中学的,所以这里不再细讲如何配方)
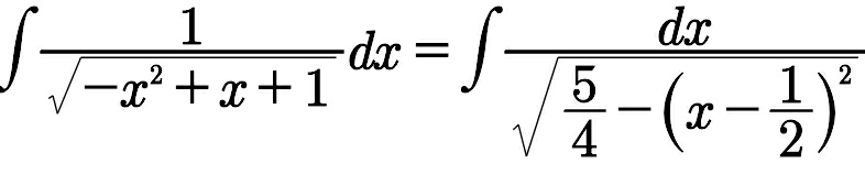
我们神奇的发现,这个x–1/2貌似求导后为1,也就是
所以就把这个积分变成了
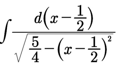
问题又来了,这个积分又怎么解啊?
接下来我们要利用三角换元法来求解这个积分(这个方法我会在下一节讲解)
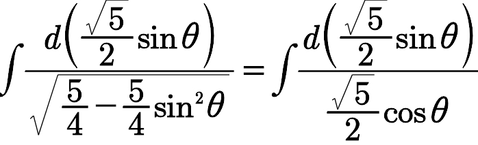
我们先建立一个三角形△
根据分母,可以得到
根据分母的形式以及勾股定理,可以设出这样的三角形
因此就有
把这个x–1/2代入到被积函数,就有
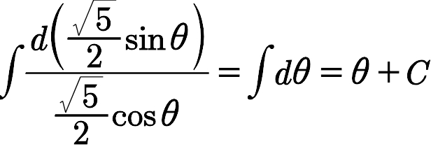
又因为
代入,得
又因为
所以
即
OK.
最后祝大家新年快乐哦!
本文介绍了凑微分法在解决积分问题中的应用,通过实例详细解析了如何凑微分,转换复杂的积分表达式。从简单题目出发,逐步提升难度,包括对多项式和复合函数的积分处理,并预告了后续将使用三角换元法解决更复杂的积分问题。
2180

被折叠的 条评论
为什么被折叠?



