操作系统功能
•(1)处理机管理
•(2)存储器管理
•(3)设备管理
•(4)文件管理
•(5)用户接口
操作系统类型
单用户系统 | 一台处理机只支持一个用户程序 |
批处理系统 | 用户将一批作业提交给操作系统后就不再干预,由操作系统控制它们自动运行。人机不交互。 |
分时操作系统 | 把处理机的运行时间分成很短的时间片,按时间片轮流把处理机分配给各联机作业使用。 |
网络操作系统 | 一种在通常操作系统功能的基础上提供网络通信和网络服务功能的操作系统。 |
分布式操作系统 | 以计算机网络为基础的,将物理上分布的具有自治功能的数据处理系统或计算机系统互联起来的操作系统。 |
嵌入式操作系统 | 运行在嵌入式智能芯片环境中,对整个智能芯片以及它所操作、控制的各种部件装置等资源进行统一协调、处理、指挥和控制。 |
进程
进行资源分配和调度的基本单位。
进程通常由程序、数据集合、进程控制块 PCB 组成。
为了描述和控制进程的运行,系统为每个进程定义了一个数据结构——进程控制块(PCB)。 它是进程重要的组成部分,它记录了操作系统所需的、用于描述进程的当前状态和控制进程的全部信息。 操作系统就是根据进程的PCB来感知进程的存在,并依此对进程进行管理和控制。 PCB是进程存在的唯一标识。




PV操作
P操作:
①将信号量S的值减1,即S=S-1;
②如果S>=0,则该进程继续执行;否则该进程置为等待状态。
V操作:
①将信号量S的值加1,即S=S+1;
②如果S>0该进程继续执行;否则说明有等待队列中有等待进程,需要唤醒等待进程。

典型真题
1、某企业生产流水线M共有两位生产者,生产者甲不断地将其工序上加工的半成品放入半成品箱,生产者乙从半成品箱取出继续加工。假设半成品箱可存放n件半成品,采用PV操作实现生产者甲和生产者乙的同步可以设置三个信号量S、S1和S2,其同步模型如下图所示。

信号量S是一个互斥信号量,初值为( );S1、S2的初值分别为( )。
A.0
B.1
C.n
D.任意正整数
A.n、0
B.0、n
C.1、n
D.n、1
试题分析
在本题中,题目告诉我们甲乙俩人互斥使用半成品箱这个共有资源,且只有一个半成品箱,那么互斥信号量的初值就应该为1。而从题目给出的同步模型图,我们可以看出,信号量S1是生产者甲的私有信号量,而S2是生产者乙的私有信号量,题目告诉我们半成品箱可存放n件半成品,那么初始状态时,S1的值应该为n,表示生产者甲最多只能生产n个半成品放入半成品箱,就需要生产者乙来协调工作。而S2的值为0,表示开始时半成品箱中没有半成品。
试题答案
B、A
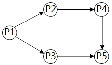
2、进程P1、P2、P3、P4和P5的前趋图如下图所示:
若用PV操作控制进程P1、P2、P3、P4和P5并发执行的过程,则需要设置5个信号S1、S2、S3、S4和S5,且信号量S1~S5的初值都等于零。下图中a和b处应分别填( );c和d处应分别填写( );e和f处应分别填写( )
A.V(S1)P(S2)和V(S3)
B.P(S1)V(S2)和V(S3)
C.V(S1)V(S2)和V(S3)
D.P(S1)P(S2)和V(S3)
A.P(S2)和P(S4)
B.P(S2)和V(S4)
C.V(S2)和P(S4)
D.V(S2)和V(S4)
A.P(S4)和V(S4)V(S5)
B.V(S5)和P(S4)P(S5)
C.V(S3)和V(S4)V(S5)
D.P(S3)和P(S4)V(P5)
试题分析
解决这类问题,可以先将信号量标于箭线之上,如:

再以此原则进行PV操作填充:
(1)若从P进程结点引出某些信号量,则在P进程末尾对这些信号量执行V操作。如:P1引出了信号量S1与S2,则P1末尾有:V(S1)V(S2)。
(2)若有信号量指向某进程P,则在P进程开始位置有这些信号量的P操作。如:S1进程指向P2,所以P2开始位置有P(S1)。
注意:
在这类题中,S1-S5具体标在哪个箭线上值得注意,标注的基本原则是:从结点标号小的开始标。如:P1引出两条线,则这两条必然是S1与S2,而由于指向的分别是P2P3,所以S1对应指向P2的箭头,S2对应指向P3的箭头。
试题答案
C、B、B
死锁


典型真题
某系统中有3个并发进程竞争资源R,每个进程都需要5个R,那么至少有( )个R,才能保证系统不会发生死锁。
A.12
B.13
C.14
D.15
试题分析
在有限的资源下,要保证系统不发生死锁,则可以按这种逻辑来分析。首先给每个进程分配所需资源数减1个资源,然后系统还有1个资源,则不可能发生死锁。即:3*4+1=13个。
试题答案:B
存储管理
逻辑地址:CPU所生成的地址。逻辑地址是内部和编程使用的、并不唯一。例如,你在进行C语言指针编程中,可以读取指针变量本身值(&操作),实际上这个值就是逻辑地址,它是相对于你当前进程数据段的地址(偏移地址),不和绝对物理地址相干。
物理地址:加载到内存地址寄存器中的地址,内存单元的真正地址。
静态重定位是在程序执行之前进行重定位,它根据装配模块将要装入的内存起始位置,直接修改装配模块中的有关使用地址的指令。
例如,MOV AC,[500]
静态重定位有着无需硬件支持的优点,但存在着如下的缺点:一是程序重定位之后就不能在内存中搬动了;二是要求程序的存储空间是连续的,不能把程序放在若干个不连续的区域内。
动态重定位是指,不是在程序执行之前而是在程序执行过程中进行地址重定位。更确切地说,是在CPU每次访问内存单元前才进行地址变换。需硬件支持。优点是:(1)程序占用的内存空间动态可变,不必连续存放在一处。(2)比较容易实现几个进程对同一程序副本的共享使用。
缺点是:需要附加的硬件支持,增加了机器成本,而且实现存储管理的软件算法比较复杂。
现在一般计算机系统中都采用动态重定位方法。
分区管理
固定分区 | 静态分区,作业装入之前划分,大小固定,内存利用率不高。 |
可变分区 | 动态分区,碎片多。首次适应算法、最佳适应算法、最坏适应算法。 |
可重定位分区 | 合并零散空间。 |

分页管理


典型真题
某操作系统采用分页存储管理方式,下图给出了进程A和进程B的页表结构。如果物理页的大小为1K字节,那么进程A中逻辑地址为1024(十进制)的变量存放在( )号物理内存页中。假设进程A的逻辑页4与进程B的逻辑页5要共享物理页4,那么应该在进程A页表的逻辑页4和进程B页表的逻辑页5对应的物理页处分别填( )。

A.8
B.3
C.5
D.2
A.4、4
B.4、5
C.5、4
D.5、5
试题分析
1、1k=1024, 从0号开始逻辑页0可存下0~1023,1024存在逻辑页1上,对应的物理页为3。
2、共享页4,都是4,4。
试题答案:B、A
分段存储管理


段页式存储管理

典型真题
假设段页式存储管理系统中的地址结构如下图所示,则系统( )。

A.最多可有256个段,每个段的大小均为2048个页,页的大小为8K
B.最多可有256个段,每个段最大允许有2048个页,页的大小为8K
C.最多可有512个段,每个段的大小均为1024个页,页的大小为4K
D.最多可有512个段,每个段最大允许有1024个页,页的大小为4K
试题分析
根据公式 ,可以分别计算段号,页号以及页内地址最大的寻址空间。存储管理系统中的地址长度均表示为最大的寻址空间。
页内地址为13位,即页大小为213=8K;页号地址为11位,即页数最多为211=2048;段号地址为8位,即段数最多为28=256。
试题答案:B
设备管理

在计算机中,I/O系统可以有5种不同的工作方式,分别是程序控制方式、程序中断方式、DMA工作方式、通道方式、I/O处理机。
1、程序控制方式
分为无条件查询和程序查询方式。
① 无条件传送方式,I/O端口总是准备好接受主机的输出数据,或是总是准备好向主机输入数据,而cpu在需要时,随时直接利用I/O指令访问相应的I/O端口,实现与外设的数据交换。优点是软、硬件结构简单,缺点是对时序要求高,只适用于简单的I/O控制。
② 程序查询方式
程序查询方式也称为程序轮询方式,该方式采用用户程序直接控制主机与外部设备之间输入/输出操作。CPU必须不停地循环测试I/O设备的状态端口,当发现设备处于准备好(Ready)状态时,CPU就可以与I/O设备进行数据存取操作。这种方式下的CPU与I/O设备是串行工作的。
2、中断方式
当I/O设备结束(完成、特殊或异常)时,就会向CPU发出中断请求信号,CPU收到信号就可以采取相应措施。当某个进程要启动某个设备时,CPU就向相应的设备控制器发出一条设备I/O启动指令,然后CPU又返回做原来的工作。CPU与I/O设备可以并行工作,与程序查询方式相比,大大提高了CPU的利用率。
3、DMA(直接内存存取)方式
DMA方式也称为直接主存存取方式,其思想是:允许主存储器和I/O设备之间通过“DMA控制器(DMAC)”直接进行批量数据交换,除了在数据传输开始和结束时,整个过程无须CPU的干预。

4、通道控制方式
在一定的硬件基础上利用软件手段实现对I/O的控制和传送,更多地免去了cpu的接入,使主机和外设并行工作程度更高。
5、I/O处理机
指专门负责输入/输出的处理机。可以有独立的存储器、运算部件和指令控制部件。
文件管理
文件的逻辑结构:
文件的逻辑组织是为了方便用户使用。一般文件的逻辑结构可以分为两种:无结构的字符流文件和有结构的记录文件。记录文件由记录组成,即文件内的信息划分成多个记录,以记录为单位组织和使用信息。
记录文件有顺序文件、索引顺序文件、索引文件和直接文件。
(1)顺序文件。大多数文件是顺序文件。顺序文件的记录定长,记录中的数据项的类型长度与次序固定,一般还有一个可以唯一标识记录的数据项,称为键(key),记录是按键值的约定次序组织的。顺序文件常用于批处理应用,对于查询或更新某个记录的处理性能不太好。
(2)索引顺序文件。
(3)索引文件。
(4)直接文件。直接文件又称哈希(Hash)文件。记录以它们在直接访问存储设备上的物理地址直接(随机地)访问。直接文件常用 于需要高速访问文件而且每次仅访问一条记录的应用中。
文件的物理结构:
文件的物理结构是指文件在存储设备上的存放方法。文件的物理结构侧重于提高存储器的利用效率和降低存取时间。文件的存储设备通常划分为大小相同的物理块,物理块是分配和传输信息的基本单位。文件的物理结构涉及文件存储设备的组块策略和文件分配策略,决定文件信息在存储设备上的存储位置。常用的文件分配策略有:
(1)顺序分配(连续分配)。
(2)链接分配(串联分配)。
(3)索引分配。这是另一种对文件存储不连续分配的方法。采用索引分配方法的系统,为每一个文件建立一张索引表,索引表中每一表项指出文件信息所在的逻辑块号和与之对应的物理块号。

典型真题
● 某文件系统文件存储采用文件索引节点法。假设文件索引节点中有8个地址项iaddr[0]~iaddr[7],每个地址项大小为4字节,其中地址项iaddr[0]~iaddr[5]为直接地址索引,iaddr[6]是一级间接地址索引,iaddr[7]是二级间接地址索引,磁盘索引块和磁盘数据块大小均为4KB。该文件系统可表示的单个文件最大长度是( )KB。若要访问iclsClient.dll文件的逻辑块号分别为6、520和1030,则系统应分别采用( )。
(7)A.1030 B.65796 C.1049606 D.4198424
(8)A.直接地址索引、一级间接地址索引和二级间接地址索引
B.直接地址索引、二级间接地址索引和二级间接地址索引
C.一级间接地址索引、一级间接地址索引和二级间接地址索引
D.一级间接地址索引、二级间接地址索引和二级间接地址索引
试题分析
直接索引范围:6*4KB=24KB ,对应逻辑块号:0-5;
一级间接索引范围:(4KB/4B)*4KB=4096KB ,对应逻辑块号:6-1029;
二级间接索引范围:(4KB/4B)* (4KB/4B)*4KB=4194304KB ,对应逻辑块号:1030以及上。
单个文件最大长度是: 24KB + 4096KB + 4194304KB = 4198424KB
参考答案:(7)D (8)C
文件存储设备管理
位示图法。该方法是在外存上建立一张位示图(Bitmap),记录文件存储器的使 用情况。每一位仅对应文件存储器上的一个物理块,取值0 和1 分别表示空闲和占用。文件存储器上的物理块依次编号为:0、1、2、…。假如系统中字长为32位,有4096个物理块,那么在位示图中的第1个字对应文件存储器上的0、1、2、…、31号物理块;第2 个字对应文件存储器上的32、33、34、…、63号物理块;第128字对应文件存储器上的4064、4065、…、4095号物理块。这样位示图的大小为32字。

典型真题
某文件管理系统在磁盘上建立了位示图(bitmap),记录磁盘的使用情况。若磁盘上物理块的编号依次为:0、1、2、....;系统中的字长为32位,位示图中字的编号依次为:0、1、2、..,每个字中的一个二进制位对应文件存储器上的一个物理块,取值0和1分别表示物理块是空闲或占用。假设操作系统将2053号物理块分配给某文件,那么该物理块的使用情况在位示图中编号为( )的字中描述。
A.32
B.33
C.64
D.65
试题分析
参考答案:C
2053/32=64.156,并且位示图是从0号开始所以选择C。

803

被折叠的 条评论
为什么被折叠?



