对于解线性方程组
那么特征值是什么呢,有什么用途,当然应用之一就是解微分方程,我们以此引入特征值,现在考虑两个方程的方程组

这是一个初值问题,不同于边值问题,下面给出一个边值问题的例子

对于上面的初值问题,未知数仅在

于是方程组变为

它是一个一阶方程,未知数也是线性的,通常,最一般的线性一阶初值问题是

对比可知,(2)式是齐次的,而且有常数系数,即矩阵

它的解为


上面讨论的是单个方程,我们要讨论的是方程组,并寻求类似的按指数方式依赖t的同一类解,也就是说寻求下列形式的解

将这个解带入微分方程中,我们得到

假定两个未知数有相同的指数,可以消去得到

把



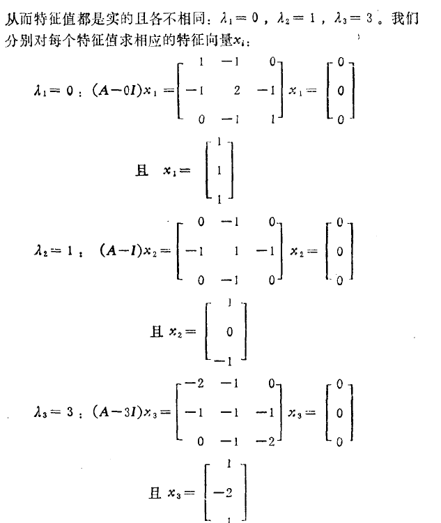
让我们来解我们刚开始给出的方程组





特征向量不是唯一确定的,


接下来继续回到原来的微分方程,我们已经找到它的两个纯指数解:

因为方程是线性的,所以可以叠加,两个特解的任意组合仍是一个解

现在使两个自由参数满足初值条件,t=0时,

解得

下面来说一说特征值的物理意义




来看一个具体的例子




下面介绍一个定理


被折叠的 条评论
为什么被折叠?



