1 球壳质心位置的另一种解法及其思路来源
大学物理课堂讲授“质心动力学”一节时,绕不过的要介绍质心位置的确定,通常教材[1]都会介绍半球壳质心的计算,如图1所示。
该方法简单、直观,是质心计算的“范式”(规范方法)。但是由于半圆环质心位置的计算
结果
也是通常教材的例题选择,见图2。
处。显然,结果是错的,其错误在于以此质量元转一圈后的质量分布并不是半球壳的质量,因存在部分重叠,质量大于球壳质量。那么能用跨过球顶的半圆环为质量元正确求解半球壳质心吗?见图3。
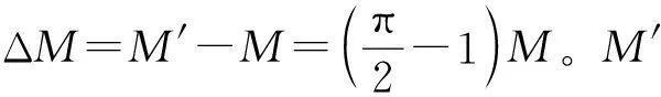
由于跨过球顶的半圆环质量元在旋转一周时有部分重叠,因此用此质量元旋转一周求出的质量比原半球壳的质量大,可称为“视质量”为
比原半球壳质量多出了
对应的质心位置显然就在圆环质心
处,若能求出ΔM对应的质心位置Δyc,则实际半球壳M的质心位置就能确定了。为此,我们可以求出“纬度角α”处由于重叠而多出的质量为
显然,该多余部分具有轴对称性,质心处于


得到与原结论一致的结果
上述方法在各类大学物理教材没有出现过,但教学中时常会被学生提出,但每每我们的教师总是会将学生的思路引导到教材选择的方法上,从而刻意回避了问题的出现。2 由此引发的教学思考
教学的确有“范式”可言——教学内容的系统化、例题习题解答的标准化等,但是,研究没有范式可言,面对陌生现象,只有探索。正如上述问题的出现,如果我们的教师一味回避学生提出的有违范式的思路,那么何来对学生的创新、探索能力的培养?这不由引发思考,我们的大学老师课程教学都该按着教学“范式”进行教学吗?如何认识教师的作用?有学者早就认为[2],大学教师是课程的组织者、讲授者,也应该是课程的研究者。通过研究提升自己对学科知识的处理能力、分析能力和讲解能力,唯有研究才能激活教材、激活教学。因此,研究性必须贯穿在大学物理的课堂始终。格里菲斯总结了研究介入教学的四种模式:一是研究引领的教学,二是研究取向的教学,三是研究为本的教学,四是研究自觉的教学。显然,按照这四种模式,研究与教学融为一体,教学的学术性就此体现。那么研究性元素从何而来呢?首先,应该来自于教学过程。就如本案例的获得即源自于教学过程中的学生选择。学生在学习活动中没有“范式”的约束,思维天马行空,一旦给出有违范式的选择,教师当然需要做出必要的引导,给出物理研究的最简方法(这是物理思维的必须),但是,如果能因势利导,给出探索式解答,既能训练学生创新思维(不拘泥于一种解答方式),又能训练学生解决复杂问题的能力(本例复杂性在于质量重叠),这样的研究价值会在范式训练价值基础之上获得升华。其次,应该来自于教材[3]。在大学物理教学过程中贯穿研究性教学,应以学生知识背景为基础,教材是教师教学的蓝本,也是学生学习的基础,依据教材的“研究性教学(或教学研究性)”才具有扎实的可行性。比如,在讲授单摆运动时,小角度的摆动是线性运动规律,那么引申到大角度摆动是不是就算研究性了?那当然也是研究性,它可以研究初始条件、摆长(参数)对运动的影响,研究受迫作用下的混沌,等等非常丰富的研究性内容,但这需要学生跨越“非线性微分方程”求解、“叠加原理”失效、“相图”等知识的障碍,这如果只是让学生有个大概了解,当然是可以的,但要想让学生真获得一点本领那就难度很大了,学生或老师可能都不一定会去花那工夫。可是,若换成对摆长趋向无穷大时,单摆公式失效性分析[3],那就可以得到事半功倍的作用,这其中没有任何知识盲点,有的是对理想化条件的再认识和稍显复杂的代数运算,前者可以培养学生物理建模的训练,后者可以培养学生做复杂运算的耐心和细致。作者反对在大学物理中引入不着边际的研究性内容,特别赞成以教材为本,挖掘具有教学基础的研究性元素。有鉴于此,本文作者自2000年前后,对目前大学物理教学使用面较广的马文蔚《物理学》教材做了近20年的梳理,从中整理出近50个选题,这些选题有的来自课本中的例题、习题的拓展与延伸,有的来自教材知识点的再认识,汇集成为“来自课本的研究性”元素。近年来笔者在数十所大学与授课教师交流,得益匪浅,个别选题已发表在学术期刊上供同行赐教,其中15个选题示例如下:(1) 复摆的转动惯量能用复摆的周期公式直接计算出来吗(2) 绳棒摆的频率特征与绳中的张力突变(3) 探照灯光斑移动速度的正确计算(4) 麦克斯韦摆的能量损耗分析(5) 斯特林循环效率与实际的热机效率相等吗(6) 涡旋电场方向是不证自明的吗(7) 磁化两种机理的统一描述(8) 刚体定轴转动的角动量是恒定矢量吗(9) 理想气体压强公式推导中的作用时间的理解(10) “自由程”对真空度(保温)的影响(11) 从音叉振动看宏观“量子数”(12) 加速度方向指向曲线凹侧的教学(13) 阿特伍特机(题)的条件过于充分了(14) 刚体转动角速度与参考点(轴)选择无关的证明(15) 证明密绕无限长通电螺旋导线内磁场平行,外磁场为零的方法中,哪里体现“密绕”条件的最后,应该来自于科学研究的教学转化。现在的大学教师一般都有着各种科研背景,将科研内容中适合大学物理教学需要和能力范畴的元素,提炼和转化是非常好的做法,它能够让学生在课堂上就能感受到科研的氛围和受到贴近科研的训练。比如,我们在讲授陀螺仪定向概念时,引进加速度传感器(陀螺仪)的设置(三维直角坐标系),通过加速度积分获得角速度和角位移取向,从而获得“定向”信息,这使学生不止步于陀螺的角动量定理形式,而获得真正的“研究”性应用。注意这里的“研究”两字用上了双引号,对学生而言的确是研究,但对陀螺定向技术而言已经不是研究而是应用了。但如果将第四代陀螺仪的预研项目——量子陀螺仪的研究搬进课堂教学,那就是货真价实的研究了。在此就不展开说明了。总之,课堂教学决不能照本宣科,也不能被“范式”所约束,要尊重学生的思维取向,努力用研究性眼光发掘出现在教学过程、教材体系和科学实践中的研究性元素,认真用好研究性方法,真真实实地落实好人才培养的目标,使创新、研究和实践的“三套马车”驰骋在课堂教学的广袤大地上。参考文献[1] 马文蔚,周雨青. 物理学上册[M]. 6版. 北京:高等教育出版社,2014: 90.
[2] 余文森. 论大学课堂教学的三个“应然”[J]. 中国大学教学, 2018(4):
YU W S. On the three “Shoulds” of classroom teaching in universities[J]. China University Teaching, 2018(4): .(in Chinese)
[3] 周雨青,刘甦,董科. 来自课本的研究性——兼谈启发式教学实践[J]. 物理与工程,2012,22(6):13-16
ZHOU Y Q, LIU S, DONG K. Investigative teaching based on materials in textbooks——With a brief reference on application of heuristic teaching methods[J] .Physics and Engineering, 2012, 22(6): 13-16. (in Chinese)
基金项目: 教育部在线教育研究中心在线教育研究基金(全通教育)重点项目(编号:2016ZD312); 中国教育学会2018年教改项目“CAP与国际课程(AP、A-level)的比较研究”(编号:18XM1026002ZA);中国教育学会2018年教改项目“CAP大学与中学合作模式的研究——以物理力学科目当例”(编号:18XM1026011ZB)。
作者简介: 周雨青,男,东南大学物理学院大学物理教研中心教授,教育部大学物理课程教学指导委员会委员,zhou_yuqing@263.net。引文格式: 周雨青. 球壳质心位置的另一种解法——兼谈研究性教学的元素选择[J]. 物理与工程,2020,30(4):20-22.END



更多精彩文章请点击下面“蓝字”标题查看:
读后感:教育中的现实和远方
王青教授:昨晚(6月9日),清华电动力学期末考试
朱邦芬院士:“减负”误区及我国科学教育面临的挑战
关于新冠肺炎疫情防控期间物理类课程线上教学的调查报告
- 乐永康:新冠肺炎疫情防控下美国物理实验教学及中美情况对比
教育部高等学校大学物理课程教学指导委员会关于推进在线物理教育教学研究的工作
王青,郭应寿:清华大学《费曼物理学II》和《电动力学》混合式线上教学实践
《物理与工程》2020年第3期目录
《物理与工程》2020年第2期目录
《物理与工程》2020年第1期目录
顾牡:对于重新制定的《非物理类理工学科大学物理课程教学基本要求》的认识和体会
黄昆:永远怀念吴大猷老师
黄昆:我的研究生涯
朱邦芬院士:从基础科学班到清华学堂物理班
朱邦芬院士:对培养一流拔尖创新人才的思考
李学潜教授:物理是一种文化
李学潜教授:如何帮助物理系学生迈过从高三到大一这个坎
穆良柱:什么是物理及物理文化?
穆良柱:什么是ETA物理认知模型
穆良柱:什么是ETA物理教学法
吴国祯教授:我的国外研究生经历印象——应清华大学物理系“基科班20年·学堂班10年纪念活动”而写
陈佳洱,赵凯华,王殖东:面向21世纪,急待重建我国的工科物理教育
王亚愚教授:清华物理系本科人才培养理念与实践
葛惟昆教授:关于中外人才培养的几点思考
王青教授:小班教学与翻转课堂:《费曼物理学Ⅱ》的10年教学实践——纪念费曼先生百年诞辰
安宇教授:为什么传统的课堂讲授模式需要改变
安宇教授:其实教学就是积累的过程
刘玉鑫教授:关于本科生物理基础课程教学和教材编著的一些思考
沈乾若:重创理科教育的美加课程改革
Henderson C:美国研究基金支持下的物理教育研究及其对高等物理教育的影响
《物理与工程》期刊是专注于物理教育教学研究的学术期刊,是中国科技核心期刊,1981年创刊,欢迎踊跃投稿,期刊投审稿采编平台:
http://gkwl.cbpt.cnki.net

欢迎关注
《物理与工程》微信公众号

646

被折叠的 条评论
为什么被折叠?



