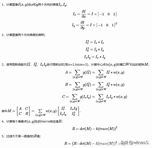
Harris角点检测步骤:
Harris:
import cv2import numpy as npdef harris_detect(img, ksize=3, k0=0.04): ''' params: img:灰度图片 ksize:Sobel算子窗口大小 k0:响应函数 return: corner:与源图像一样大小,角点处像素值设置为255 ''' k = k0 # 响应函数k threshold = 0.01 # 设定阈值 WITH_NMS = False # 是否非极大值抑制 # 1、使用Sobel计算像素点x,y方向的梯度 h, w = img.shape[:2] # 提取图片宽、高 grad = np.zeros((h, w, 2), dtype=np.float32) # 创建梯度矩阵 grad[:, :, 0] = cv2.Sobel(img, cv2.CV_16S, 1, 0, ksize=3) # 取x方向的梯度 grad[:, :, 1] = cv2.Sobel(img, cv2.CV_16S, 0, 1, ksize=3) # 取y方向的梯度 # 2、计算Ix^2,Iy^2,Ix*Iy m = np.zeros((h, w, 3), dtype=np.float32) m[:, :, 0] = grad[:, :, 0] ** 2 m[:, :, 1] = grad[:, :, 1] ** 2 m[:, :, 2] = grad[:, :, 0] * grad[:, :, 1] # 3、利用高斯函数对Ix^2,Iy^2,Ix*Iy进行滤波,得到矩阵m m[:, :, 0] = cv2.GaussianBlur(m[:, :, 0], ksize=(ksize, ksize), sigmaX=2) m[:, :, 1] = cv2.GaussianBlur(m[:, :, 1], ksize=(ksize, ksize), sigmaX=2) m[:, :, 2] = cv2.GaussianBlur(m[:, :, 2], ksize=(ksize, ksize), sigmaX=2) m = [np.array([[m[i, j, 0], m[i, j, 2]], [m[i, j, 2], m[i, j, 1]]]) for i in range(h) for j in range(w)] # 4、计算局部特征结果矩阵M的特征值和响应函数R(i,j)=det(M)-k(trace(M))^2 0.04<=k<=0.06 D, T = list(map(np.linalg.det, m)), list(map(np.trace, m)) R = np.array([d - k * t ** 2 for d, t in zip(D, T)]) # 5、将计算出响应函数的值R进行非极大值抑制,滤除一些不是角点的点,同时要满足大于设定的阈值 # 获取最大的R值 R_max = np.max(R) # print(R_max) # print(np.min(R)) R = R.reshape(h, w) corner = np.zeros_like(R, dtype=np.uint8) for i in range(h): for j in range(w): if WITH_NMS: # 除了进行进行阈值检测 还对3x3邻域内非极大值进行抑制(导致角点很小,会看不清) if R[i, j] > R_max * threshold and R[i, j] == np.max( R[max(0, i - 1):min(i + 2, h - 1), max(0, j - 1):min(j + 2, w - 1)]): corner[i, j] = 255 else: # 只进行阈值检测 if R[i, j] > R_max * threshold: corner[i, j] = 255 return cornerif __name__ == '__main__': img = cv2.imread('D:/testimage/word.jpg') # 转换为灰度图像 gray = cv2.cvtColor(img, cv2.COLOR_BGR2GRAY) dst = harris_detect(gray) img[dst > 0.01 * dst.max()] = [0, 0, 255] cv2.imwrite('D:/testimage/FindCorner.jpg', img) cv2.imshow('FindCorner', img) cv2.waitKey(0) cv2.destroyAllWindows()
结果:
harris
Shi-Tomasi:
import cv2 as cvimport numpy as npif __name__=='__main__': img=cv.imread("D:/testimage/animal.jpg") gray_img=cv.cvtColor(img,cv.COLOR_BGR2GRAY) result_img=img.copy() corners=cv.goodFeaturesToTrack(gray_img,100,0.01,10,blockSize=3,useHarrisDetector=False,k=0.04) #从float型转化为int型 Corners=np.int0(corners) #print(Corners) for i in Corners: #将数组降维 x,y=i.ravel() cv.circle(result_img,(x,y),2,(0,0,255),2) cv.imshow("original image", img) cv.imshow("result image",result_img) cv.imwrite("D:/testimage/result numbers.jpg",result_img) cv.waitKey(0) cv.destroyAllWindows()
结果:
Shi-Tomasi
1247

被折叠的 条评论
为什么被折叠?



