如何将连续系统状态空间方程离散化?
上篇介绍了基于传递函数的离散化方法。个人理解,传递函数属于经典控制理论范畴,比较适合对单入单出系统系统进行分析, 包括时域分析,频域分析等。而面对多入多出系统时,传递函数的局限性便会显现。
现代控制理论主要基于状态空间进行分析,因为状态空间便于描述多入多出系统,也便于分析可控可观等特性。那么物理建模形成的连续系统,进行计算机控制时,怎么将其离散化呢?这里简单讲一讲。
---------------------------------------------------------------------------------------------------------------------------------
---------------------------------------------------------------------------------------------------------------------------------
1.一个例子
首先给出一个例子。一个简单的二阶系统

它离散化后会变成什么样?想想再往下看。。。。。。
答案是


惊不惊喜?为什么离散化后,控制信号 u 会出现在第一项中呢?下边告诉你答案。
2.精准离散化
答疑时间。因为上边采用了精准离散法。所谓精准是指,离散化后的每一个时刻状态的值等于连续系统在这个时刻的值。 是不是比较绕?自己体会。
对于如下状态空间方程,

它的精准离散的变换公式是什么呢?敲黑板,上结论,推导略

其中,T是采样时间。看到没,离散化后的模型是跟采样时间相关的!利用这个变换公式,你能求出上边那个例子吗?
3.不精准离散化
如果你求了上边的例子,你会发现,按照(2)计算不是那么容易。一个矩阵的指数次幂,还积分,阶数高了岂不是太麻烦?其实细想想,那么精确干啥?在一个佛系司机眼中,80km/h和79km/h无所谓啦。
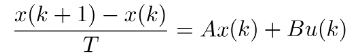
那么有没有精度差一点,但是计算简单的呢?有啦!没有我问啥。还记得上一篇介绍的前项差分吗?这里也采用前项差分变换得

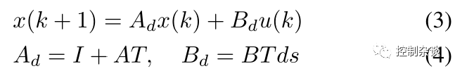
整理一下得到了

是不是按照(4)计算就很容易了!
4.不精准离散化依据
最后一个问题,不精准离散化到底有多不准呢?和精准离散化到底差多少呢?和上一篇z变换一样(连续系统转化为离散系统之--- z 变换),同样记住采样时间较小,Ts近似为零, 略去那些高次项可得

是不是发现,对(2)式分别根据第一个和第二个约等于近似后,就得到了(4)呢。总结一下就是,为保证不精准离散化的精度别差太多,采样时间要够小!
7543

被折叠的 条评论
为什么被折叠?



