北斗三号观测数据质量分析
尹志豪1,王广兴1,胡志刚2,薄亚东1
(1.中国地质大学(武汉)地理与信息工程学院,武汉 430078;
2.武汉大学 卫星导航定位技术研究中心,武汉 430079)
摘要:2020年底北斗三号卫星导航系统将全面建设完成,北斗三号沿用了B1I和B3I两个信号,并新增B1C和B2a两个新民用信号。为分析各个信号的观测数据质量,本文选取6个境外iGMAS连续跟踪站15天的数据对北斗三号的观测数据质量进行分析,从信噪比、伪距多路径、数据完整率、数据饱满度和数据连续性等五个方面综合对比了北斗二号和北斗三号新旧信号的数据质量,并将北斗三号与GPS和Galileo在兼容互操作频点进行对比。结果表明,北斗三号的信噪比优于北斗二号,在兼容互操作频点上也比GPS和Galileo高1~2dB-Hz;北斗三号B1C的伪距多路径误差比GPS大10cm左右;北斗三号的数据完整率要比Galileo高,略低于GPS;在数据饱满度和连续性方面,北斗三号优于GPS和Galileo。
1 观测数据质量指标
本文从信噪比、伪距多路径、数据完整率、数据饱满度以及数据连续性等五个方面对北斗三号观测数据质量进行分析,本节内容将介绍各分析指标的计算方式以及含义。
1.1 信噪比
信噪比(SNR)是载波信号强度和噪声强度的比值,一般用来衡量信号强度大小,是载波相位观测值的质量指标之一,单位为dB-Hz。信噪比数值越大,表明观测数据质量越好,观测数据文件中会记录下当前历元每颗卫星的信噪比数值。
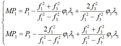
1.2 伪距多路径
在双频观测值可用的情况下,可以采用载波与伪距的组合观测值来反映多路径误差。进行观测值组合分析时,一般选取频率相差较大的两个频点数据进行组合,否则会放大观测噪声,无法正确反映多路径效应。以B1I和B3I频点观测值为例,伪距多路径组合观测值的计算公式可以表达为
式中,
和
分别为伪距和载波相位观测值,
和
分别为观测值频率和波长,下标1和3分别代表B1I和B3I频点。
该组合消除了卫星和接收机之间的几何距离、对流层延迟和电离层延迟的一阶项影响,主要包含伪距观测值上的多路径效应。上述组合包含有模糊度参数,在数据不发生周跳的情况下,可以直接进行多历元取平均的方法来消除模糊度参数,在发生周跳时,需要通过分段取平均再减去平均值的方法消去模糊度参数。本文试验采用M-W组合进行周跳探测,在发生周跳处进行分段,以此来计算出每颗卫星每一历元的多路径误差。
1.3 数据完整率
在指定截止高度角后,在当前测站利用广播星历计算的可见卫星的接收观测值个数为应接收的理论数据;而实际接收数据按接收机的实际个数统计。该指标可以描述接收机在不同截止高度角范围内的信号跟踪情况。
完整率为某颗卫星某一频点实际接收数据与应接收的理论数据的百分比,可以用如下公式进行计算
式中,
和
北斗三号观测数据质量多维度分析

本文分析了北斗三号卫星导航系统的观测数据质量,对比了北斗二号、GPS和Galileo系统。结果显示,北斗三号在信噪比上优于其他系统,但B1C频点伪距多路径误差较大。数据完整率和饱满度北斗三号表现良好,数据连续性最佳。
最低0.47元/天 解锁文章

被折叠的 条评论
为什么被折叠?



