分析基于下述三个问题:
1 1559是否影响交易费的动态调整
2 是否影响交易等待时间
3 是否影响共识安全(区块size提高)
结论:
1 1559的目的不是降低交易费用,而是使得gas估价更容易
2 采用1559竞价的交易费比first-price auction付的gasFee要低
3 随着更多人采用1559竞价模式,每个块中的所有交易gasPrice的差异越来越小,从而gas估价比较容易和用户不会过度付费
4 1559有效降低交易等待时延(在pending队列中等待的时间),适用于1559竞价模式和传统竞价模式
5 1559对交易的gasPrice的走势(增加或减少)没有明显影响
6 1559中blocksize动态调整,相较之前增加了3%的叔块率
7 1559并没有增加网络负载(节点承担的计算、广播、存储等),
8 当Ether价格波动时,交易等待时延会变高
9 MEV在矿工收益的比例逐渐提高,1559的激励机制会激励矿工进行MEV。【MEV:miner extractable value矿工可提取交易。指的是 矿工通过任意包含、排除、重新排序他们挖矿区块中的交易,从而获得的利润】
为什么需要交易费机制(Gas consume):
在公链中计算和存储都是稀缺资源,采用交易费机制向用户分配区块资源。
交易费机制是区块链协议中的重要部分,影响矿工激励机制、用户体验(交易时延)、和区块链安全性(叔块率分叉率)。
以太坊传统的竞价模式(first-price auction),付出他们全部出价,如果网络没有竞价想像中的网络拥堵,会造成过度付费,网络拥堵主要跟区块链的可扩展性有关。
1 over-paid transaction fees
2 long waiting time
通过RDD(回归不连续设计)评估具有确定谁有资格参与的截止点的计划。RDD 允许研究人员比较临界点上方和下方的人员,以确定项目对给定结果的影响
Eip1559引入的概念:
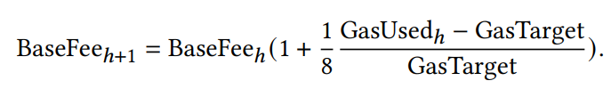
baseFee:用户必须为当前交易提供的最小gasPrice,通过前一区块的gasUsed 进行动态调整。
base fee的调整公式 ,here,GasTarget is 15,000:
maxFeePerGas:为当前交易愿意付出的最大的fee
maxPriorityFeePerGas:为当前交易愿意付给矿工的最大的fee
这种竞价模式下,用户bid时只需要提供两个参数【maxFeePerGas,maxPriorityFeePerGas】gasPrice=min{maxFeePerGas,baseFeePerGas+maxPriorityFeePerGas}*gasUsed
矿工收益:basefee会被燃烧掉,priorFee是奖励费用。【矿工获取所有出价奖励】(before),【priorFee】(after)因此,存在矿工挖空块,1559后的矿工收益主要由【staticFee,priorFee,uncleRewards,MEV】组成。StaticFee is 2 Ether per block after the Constantinople Fork in 2.2019. uncleRewards is the 1/32 staticFee if it includes uncle block.
矿工MEV的收益:
Flashbots 作为最大的MEV提取服务提供方,可提取的费用源于两方面:
以太坊交易费:
在以太坊网络中发送交易触发一系列的operations遍历操作,所以在交易执行完成之前,交易花费所需要的gas是未知的。为了避免无限制的gas花销,用户需要指定gas limit。
在1559中,gasLimit 从15,000调整到30,000,gasTarget 设置为15,000
获取统计数据的途径:
1 Google Bigquery for block-level and transaction-level characteristics,获取以下两种数据
获取legacy和1559bid模式下的每笔交易的gas price
获取1559模式下的maxFee和maxPriorFee
2 full nodes for mempool(pending pool)
3 eth price from Bloomberg Terminal
the post-EIP period is chosen when the eip-1559 adoption reacnes20%
数据的清洗方式:
1 waiting time: 下一个区块的时间戳-交易在pending pool中被发现的时间,每个区块中取得是所有交易等待时间的中位值
2 每个区块中交易gasPrice 取的是所有交易gasPrice的中位值
3 区块间gasPrice的差值通过四分位范围计算。
结果分析:
b中表示的挖块奖励-baseFee。对以太坊资源需求的提升会带来区块利用率和baseFee的增加,同时也会燃烧更多baseFee。与此同时,会引起ether价格的上涨,通过ether价格的涨幅弥补基础费的燃烧。
现在出块时间约13s,基础费的最大涨幅为12.5%,大约6个区块会达到区块basefee的翻倍【ln(2)/ln(1.125)】
1559竞价模式下的Tx type = 2,legacy style的Tx type is 0 或1,1559新的竞价模式的采用率为:

process=image/watermark,type_d3F5LXplbmhlaQ,shadow_50,text_Q1NETiBAYmxvY2tjaGFpbl95aGo=,size_20,color_FFFFFF,t_70,g_se,x_16)
交易Fee的变化
gasUsed
1559的交易比legacy交易付的gasPrice低
随着1559竞价模式利用率的增加,每个区块中的gasPrice的差异会逐渐降低
Waiting time,交易等待时间
伦敦升级后,1559和传统类型的交易等待时间都有所降低
1559和legacy类型的交易等待时间对比
1559的交易时延
当ether价格波动较大时,交易的等待时延会有所增加
分叉率
区块大小对分叉具有正影响,1559更多的是通过影响区块size从而增加叔块率
网络负载
通过不同的时间间隔对比eip前后每秒消耗的gas数量以及占比
得出的结论是1559不影响网络负载和gasUsed峰值波荡出现的频率
矿工收益的变化:
MEV:矿工可提取价值,矿工通过包含、剔除、重新排序交易带来的额外价值
a中矿工收益因为baseFee的burnt下降
b中MEV收益在短暂下降后又恢复至升级前的收益【Flashbots searchers更新软件,升级后带来的短暂的网络不稳定性】
c,d中表示MEV的收益占到矿工总收益的4%,和非出块奖励的30%
非出块奖励包括三部分:【叔块奖励、revenue from Flashbots bundles(“FBB gas fee” plus
“FBB coinbase transfer”)、non-FBB gas fee(所有交易的prior fee)】
Flashbots bundles(FBB)在升级前后没有明显变化,Non-FBB由gasPrice变为gasPrior的变化,变化较大
结论:升级前后,1559并没有改变MEV 的收益;改变的是Non-FBB的收益

























494

被折叠的 条评论
为什么被折叠?



