计算弹簧与力的关系我们可以用胡克定律,既:
![]()
我们带入牛顿第二定律得到:
![]()
求解上面的常微分方程,这样我们就得出关于穿透深度的常微分方程的解
![]()
由于弹簧是我们假设的,所以弹簧的质量无需考虑。这时候我们就可以发现,所谓的弹簧-阻尼模型可以用简谐运动来求解。也就是
![]()
A,表示幅度。 ω0,表示运动的频率,Φ,表示运动的相位。
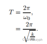
根据上面的方程我们可以得到简谐运动的周期

由于是弹簧阻尼模型,除了弹簧的力之外还需要求解阻尼力。传统的阻尼力表示为:
![]()
根据上面的方程,我们重新列出牛顿第二定律方程
![]()
对上面方程进行变形得到:

求解上述方程:

![]()
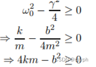
上述方程的A与Φ可以由初始条件求得,而ω1为:

所以我们可以推断,只有当满足:

时候,弹簧-阻尼运动的频率才有解。
我们比较有阻尼的运动与无阻尼的运动,可以发现,运动的幅度A在以指数级别衰减,并且有阻尼的运动的频率要小于无阻尼运动。相同的是,二者的相邻的过零点(x = 0)都是呈周期出现的。只不过有阻尼的运动的峰值并不是稳定出现在每个过零点。图像如图所示:

这时,阻尼的运动就可以用两个关键的值来描述,一个是
![]()
另一个是

用第一个值可以将阻尼运动分为三种情况
1.过阻尼(over damped):当
![]()
为轻阻尼,函数多次过零,每次过0之间的很小
当比值很大的时候,幅度迅速衰减,只产生很小的震荡
2.临界阻尼(critical damped):
![]()
频率为0,不产生震荡,A迅速归零。
3.(underdamped):
![]()
这时候的幅度将会以比临界阻尼更快的速度衰减,但是会在跌落到小于0,然后在变平之前再次增加。
下面是四种情况的图像。

对于刚体的穿透来说,我们不希望刚体进行过多的震动,所以重阻尼与临界阻尼更适合用在刚体碰撞模型中。
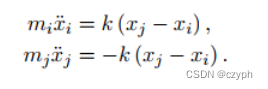
上面所讲述的弹簧-阻尼模型适用于一个模型是静止的,另一个模型是运动的情况。但是在多刚体模拟中,相当大一部分的碰撞发生在互相运动的物体中,所以为了模拟两个运动刚体之间的碰撞我们引入两物体的谐振子运动。

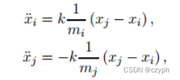
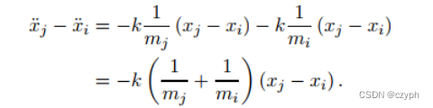
根据牛顿第二定律,我们可以求解出物体加速度与弹簧形变的关系。通常情况下,物体 i 与物体 j 的形变方向应该是相反的。所以我们得到公式。





![]()
弹簧-阻尼模型:解析振动与刚体碰撞的数学原理
本文详细介绍了胡克定律在计算弹簧与力的关系中的应用,通过牛顿第二定律导出阻尼运动的常微分方程,并讨论了不同阻尼情况下的简谐运动特征,特别关注了在刚体碰撞模型中的适用性和多体运动模拟。
6603

被折叠的 条评论
为什么被折叠?



