目录
Continuity of Topic, Interaction, and Query
前言
继上篇介绍了开放领域对话系统中一些耳熟能详的end-to-end模型后,我们结尾留了一个彩蛋即有关专门研究聊天技巧的工作。
上篇文章:
主要涉及的方面就是
Personality-based Response :有必要意识到自己的角色,并基于固定的角色做出回应。
Empathetic Response :富有同情心。
Conversation Topic :识别出想聊的主题,能主动切换相关话题促进聊天。
Knowledge-Grounded System :包含知识,知识渊博,能够给出正向引导。
Interactive Training :交互式训练, 不需要很完善,边聊边学。
下面我们每个领域解读点paper来抛砖引玉感受一下,大家如果对某个领域的研究感兴趣,可以去调研更多paper~
由于笔者对Knowledge-Grounded System比较感兴趣,所以这块对应的paper和笔墨会多一点~
Personality-based Response
P2BOT
论文:https://arxiv.org/pdf/2004.05388.pdf
核心思想就是想从不断的对话中逐渐学习到其个性化。具体的作者设计了Transmitter 和 Receiver。
Receiver主要衡量学习到的隐个性和真实个性的区别。
Transmitter是根据上下文和Receiver学习到的隐个性来生成最终的对话。

上图中的 就是人物B根据A的response推断出的A隐个性(推断出A其实一个作家)。同理
是人物A根据B的response推断出的B隐个性。
(1)Transmitter
主要就是两大类loss:Supervised Dialogue Generation 和 RS

Transmitter: Block可以理解为Transformer Block
Supervised Dialogue Generation任务:
具体的又包括两个loss即 mle 和 next utterance prediction
其中mle具体的公式如下:

其中和
分别代表A的persona(即第一幅图中的 I live in Springfield等等)和对话历史记录。
代表在回复话语
中第t个token。
就是Transmitter的模型参数。
next utterance prediction就是构造(context, response) pair对,预测response是否是context的回复,本质上是一个二分类任务。
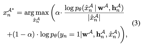
这里需要说明一点的是在inference的时候,生成的结果采用还是beam search,同时考虑next utterance prediction的话,最终的生成结果应该是:

RS任务:
截至目前,其实上述任务并没有将本文要讨论的重点persona考虑进来,为此这里作者又使用了强化学习进一步进行了训练,具体的作者从language style, discourse coherence 和mutual persona perception三个方面进行了考虑。
language style是指产生的语言风格最起码要像人,这里采取的方法是使用训练好的语言模型进行衡量作为奖励,具体的是使用GPT,公式如下:

其中的 代表的含义类似
discourse coherence是指回复的话要与上文具有相关性,这里采用的方法就是刚才提到的next utterance prediction,其会给当前response打一个score作为奖励。

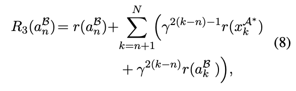
mutual persona perception这里应该就是本文要讨论的重点了,即language style和discourse coherence其实更多的考虑是想人话,但是没有充分理解说话者之间的交互即mutual persona perception更多的是想cover住一个长期的对话目标,这里作者举了个例子,假设B问A:“您的兴趣是什么呢?”,那么A接下来大概率会回答自己的兴趣爱好,同时可以看到不仅仅是A的回答,其实B的初始化问题对A的persona推断也是有信息增益的,于是这里使用以下公式作为奖励:

其中

这里的score函数就是由接下来即将介绍的Receiver产生的,可以先不用管,需要注意的是公式(8)有一个累加和,其实就是我们前面说的不仅要考虑A的回答而且要考虑B的初始化问题。看到这里可能有点懵了,再给大家梳理一下,这里的指的是B在第n轮获得的persona perception score,也即B回答的内容和自身persona perception相关的score,按常理来说,我说的话肯定是以我背景作为支撑的,score肯定应该相对偏高。
所以RS有关的强化学习总奖励就是上述三种的相加:

上述数学符号较多,大家可以多理解理解,还是不理解的话直接看原paper~,总的来说过程就是:

(2)Receiver
接下来我们看看上述的score函数是怎么产生的?采用的负采样来做的,说白了还是一个二分类。

、
和
分别代表A的所有response、A的真实persona和随机抽取的一些persona作为A的persona负样本。
可以看到目前和
的相关性要高于
和
的相关性,于是这就是loss。简单吧。
(2)效果


(4)小结
其实看到本篇的时候,还有点小兴奋,以为可以通过隐式来解决个性问题,但是显然其本质上还是需要一个有背景数据的数据集来监督学习,然后大多数数据是没有背景的。
Empathetic Response
EmoDS
论文:https://aclanthology.org/P19-1359.pdf
这篇本质上不是重点研究同情心的paper,其是从更大的角度进行研究即包含愤怒、惊讶等八种感情在内的研究,对同一上文不同的感情对应的回复是不同的比如:

post:上文
所以其模型的每一个输入要包含一个情感类别,来指导当前生产的response是什么感情色彩。
知道了其大体的研究背景后接下来我们来看看其怎么做的吧。
首先每个情感分类下面都包含了一系列情感词(关于怎么挖掘,paper也给出了引用,感兴趣的可以去看看)。
其使用的数据集是NLPCC数据集。
(1)框架

看着复杂,但是大家只需要把握一个核心问题去看就容易多了;怎么吧当前感情类别下的词揉进去编码,使得结果不仅要考虑上下文编码还要考虑感情词。
那怎么揉进去呢?就用attention呗!这就是右下角那一个虚框,具体的公式就是很标准的attention形式:

接下来我们再说另外一个事:感情显隐方式的回答

可以看到显式回答通常包含感情词,而隐式没有感情词,但是隐式照样能透露出其要表达的感情。
为此作者在train模型的时候加了另外一个感情分类loss,就是为了使得模型捕捉到隐式的感情句子即框图中右上角的虚框。注意只在train阶段使用,inference阶段没有。
(2)效果

(3)小结
这其实是一种以显式的方式强行灌入感情词,如果扣题的话,我们其实想回答的感情尽可能友善即开心等等感情,至于愤怒等等还是不要了吧。
Conversation Topic
DuConv
论文:https://arxiv.org/pdf/1906.05572.pdf
代码 : Research/NLP/ACL2019-DuConv at master · PaddlePaddle/Research · GitHub
这里讨论的对话背景是机器对话不要陷入被动,应该是会主动引导过度话题或者保持现在话题
作者将这一过程抽象为:
[start] → topic a → topic b
具体实现的手段就是构建知识图谱,所谓的主题就是图谱中的实体,并基于这个知识图谱,构建了一个数据集DuConv(可下载)
所以至于模型方面,没什么太大看点,我们后面一笔带过,主要贡献是这个数据集比较有价值。
(1)DuConv 构建具体细节
具体包含以下四个步骤
(a)Knowledge Crawling : 爬取数据,这里作者将话题限制在了电影和明显领域。具体是从Mtime时光网:让电影遇见生活网站爬取的,得到一些结构化信息(A明星是B电影的主演)以及一些非结构话的信息比如评论等等,最后得到91K films 和 51K film stars。
(b) Knowledge Construction : 图谱( subject, predicate, object )的构建, 两种方式 Direct triplets & Associated triplets, 其中Associated triplets指的是,如果两个entity具有相同的
Predicate和object,那么二者会连接一条关系,比如:(”Harry Potter and the Sorcerer Stone”, ”directed by Chris Columbus”, ”Home Alone”)
(c) conversation goal assignment :抽取一些列主题目标,即两个互连的主题即topic a 和topic b(谈话的内容就是要实现从topic a -> topic b)
(d) Crowdsourcing: 招募标注人员,具体的一对对话人员分为两个角色,一个是leader,一个是follower,leader的目标就是要实现topic a -> topic b,而且要保持自然流畅
的过度,当然其会被提供图谱辅助聊天, follower就是啥也没被提高,所要做的就是和leader正常谈话就行
(2)模型
这里作者实验了两种模型:检索模型/生成模型

检索模型的训练过程就是对主题进行监督学习,生成模型训练过程就是采用的很常见的两个生成模型loss:BOW和NLLloss
cornell university
论文:https://arxiv.org/pdf/2005.04245.pdf
代码:ConvoKit
这篇paper将话题转化问题定义为:是推进对话还是解决之前的问题,比如下图的对话:

C1主要是推进对话,直到最终找到解决办法,所以主要是向前看。
C2主要就是聚焦处理话语背后可能存在的感情,表现出同情,理解,所以主要是看后看(之前的文本)。
所以C1应该是和对话之前更相似。C2应该是和对话之后(response)更相似。
更具体的可以看如下

其通过关键字分析得到W1其实和下文更相近,而w2和上文的词更相近。
基于这一先验条件,作者通过奇异分解来做,具体的数据还是使用人工标注的数据来监督学习。

所以本篇paper带个我们的启发或者说我们看完后的收获是这个先验条件:W1其实和下文更相近,而w2和上文的词更相近。
Knowledge-Grounded System
首先我们来总览一下这块的普遍做法(参考第一篇综述paper的内容):
(1) Memory networks 提出了一个memory 框架
论文:Memory networks. arXiv preprint arXiv:14103916
其一共包含五部分: memory module、 I、G、O、R
memory module : 存储知识的模块
I : 表征知识的模块,说白了就是将知识embedding
G : 更新知识模块
O: 输出模块(依据当前上下文和知识)
R: 依据输出模块进行规范等等输出最终的response
每个模块需要很好的单独监督训练,所以end-to-end这种方式比较难实现,总体来说实现起来也比较繁琐。
(2)) End-to-end memory networks 精简了上述部分,将其扩展应用到了end-to-end模型框架
论文:End-to-end memory networks. arXiv preprint arXiv:150308895

其主要就是用常见的attention (q, k, v)思想进行计算score(Weight calculation),进而依据score进行知识筛选(Memory selection),最后依据筛选的知识和上下文预测response(Final prediction 。
(3)task-oriented 提出了一个 框架,包含三个部分:
论文:A working memory model for task-oriented dialog response generation. In: Proceedings of the 57th Annual Meeting of the Association for Computational Linguistics, pp 2687–2693
两个长期记忆模块分别存储对话历史和知识库,一种工作记忆模块,它记忆两个分布并控制最后的单词预测。
(4) 提出Two-teacher-one-student 网络
论文:Bridging the gap between prior and posterior knowledge selection for knowledge-grounded dialogue generation. In: Proceedings of the 2020 Conference on Empirical Methods in Natural Language Processing
用强化学习训练两个teacher模型,然后用GAN网络,训练student。
关于包含知识的数据集,英文主要有
Wizard,TC,CMU_DoG
中文这块相对来说比较少,大家可以直接看百度的千言,里面列出了各种数据集,直接看对话数据集就行
说了这么多,下面我们看几篇这方面的paper感受下~
KnowledGPT
论文链接:https://arxiv.org/pdf/2010.08824v1.pdf
输入的数据形式:【context, document, response】
其中document就是相关文章也即知识。


上述种的d1,d2等等就是document中一个一个句子,从上图可以看出本质上是通过lstm 设计了一个selection网筛选出知识D’,同时通过一些sim function也会选出一个伪知识 ,这里的D’就是网络选出来的,而
是使用一些先验的贪婪function选出来的知识,两者合并作为知识筛选模块筛选出来的知识参与和上下文的编码表征,进而用以生成response。
总体算法如下:

过程中作者同样采取了强化学习,以及联合训练等等
ZRKGC
论文:https://arxiv.org/abs/2008.12918
代码:https://github.com/nlpxucan/ZRKGC
探索 Zero-context-knowledge-response样本情况下的知识对话即零样本下的知识对话。
说到这里是不是又想到用隐变量啦?对的,没错!!!

C: 代表上下文context
R: 代表产生的回复response
Zk: 隐变量
Z α :表示根据C关于R在 Zk中携带了多少知识
其之间的关系建模如上
具体采用的EM算法思路来反复迭代。

关于公式推导在附录Algorithm 1 有详细解释。
GC
论文:https://aclanthology.org/2020.acl-main.166.pdf
探索对话系统下的策略学习,构建what-vertices和how-vertices两类节点。

核心思路就是根据当前关键字,选出候选关键字,在生成response的时候将上下文和这些关键字一起作为输入,生成最终的response
所以我们的重点应该是关注如下两点:(1)图谱怎么生成?(2)在decoder的时候,保证response一定要包含关键字。
(1)图谱怎么生成:
what-vertices:基于规则生成。
how-vertices;训练一个multi-mapping network
what-vertices- what-vertices边的建立是训练了一个pair模型。
(2) 在decoder的时候,保证response一定要包含关键字: 这里采用的是Seq2BF 模型

有了底层的知识图谱,上面采用的同样是强化学习。
看到这里是不是感觉有点Conversation Topic的味道,其实这里之所以将其归类到Knowledge-Grounded System是因为我们在生成response的时候,底层依赖的是这个知识图谱,而将整个知识图谱视为知识的话,那就是Knowledge-Grounded System,不用纠结是解决什么问题了,其本质还是融入一定的先验知识给模型,指导其生成合适的response。
ConceptFlow
论文:https://arxiv.org/pdf/1911.02707.pdf
代码:https://github.com/thunlp/ConceptFlow
这篇同样用到了知识图谱作为先验的知识,这里的知识图谱是用的通用知识图谱ConceptNet,对话数据用的是Reddit。
核心思想还是context匹配一个实体,然后在生成对话的时候要用一跳实体和两跳实体即paper中的center和outer,模型方面也是针对性的设计了一些网络,用的都是一些常见的网络单元比如GRU等等。


其它的也没有什么好说的了,感兴趣的直接看论文就行了。
Continuity of Topic, Interaction, and Query
论文连接:https://arxiv.org/pdf/2106.09896.pdf

这篇paper解决的是在谈话中,通过隐式解决主题应用,核心思想也是将主题通过一个高斯分布(μ,σ)映射成一个隐式主题向量θ, 然后将其联合建模decoder。
训练目标就是两个即两个虚框:
NTM: 就是下面那个虚框,主要用来学习隐式主题向量。
QGM:就是上面那个虚框,就是生成模型。
这里最关键的可以看下NTM:这里用到的是词袋bag-of-words模型的思想,通过变分自动编码器去学习。
这里的词就是context的词。
聊天技巧我全会?
上述唠唠叨叨说了这么多,那能不能将上述所有对话技巧集于一身呢???而不是分开研究。
当然有:
《 Can You Put it All Together:Evaluating Conversational Agents’ Ability to Blend Skills 》
论文链接:https://arxiv.org/pdf/2004.08449v1.pdf
这里其实没有什么重要创新,主要就是创建了一个多对话技巧的数据集即BlendedSkillTalk (BST)
具体的为招募2679 人员平均进行5.4 次对话(带有上述技能的对话), 最多进行15次对话。最后得到的数据集大小为:Train : 4,819、Dev : 1,009、Test : 980

可供下载: https://parl.ai/
这里插一句:关于中文的多技巧聊天数据,大家还是可以去百度千言平台中的对话数据找。
模型方面挺简单的,用的是poly- encoder

具体的作者实验了三种方式来解决多对话技巧
(1) Single-Skills
直接通过多任务来直接学习
(2) BST fine-tuning
先预训练,接着在BST上面finetuning
(3) Two-Stage
训练一个对话技巧classifier ,先看看用哪种对话技巧,再用相应的模型。
Interactive Training
最后我们来说说一边聊一边学这个研究方向,背景就是对话语料总是有限的,而且语料是固定的,不能cover所有的场景,那为了得到一个好的对话系统,就需要使用大量数据进行长时间训练,那如果采用一种边聊边学的训练方式,就可以不断的提高机器自己的聊天技能,而且在工业界的一些场景一开始并不需要那么性能好的模型就可以先上线用着,采用这种方式不断迭代可能是一种更好的方式。
显然这种想法就是强化学习的方式,所以这里的paper基本上都采用了强化学习算法。
下面我们就看一篇相关的paper~
论文链接:1901.05415v1.pdf (arxiv.org)
总体思路:
首其判断对方(人类/human)对当前的response是否满意,满意的话,将这部分对话扩充为新的语料,如果不满意,会进一步询问应该或者期望回答什么,然后同样将其作为训练语料。

框架:

模型进行多轮对话,具体为输出一个y^和用户的满意度s^,如果s^大于一个门限 t,那么就继续对话,并且收集到一个对话DIALOGUE 数据集 (x,y)HB,相反给出一个f(我应该回复什么呢?),根据用户的反馈f,得到另外一个训练集FEEDBACK (x, f)。
需要说明的是关于f作者没有做任何的后处理,因为其认为再怎么也比随机好,其f和上下文还是包含一定可映射的语以的。
总结
看了这里,大家是不是觉得还是有很多事可以研究呢?这是一个挑战也是一个机遇,比如
(1)不同谈话技巧数据的形式不一样!!!比如感情领域额外需要一个感情输入,主题模型需要额外一个主题,知识领域额外需要知识,个性化需要背景等等。目前都是分开单独研究,针对性的设计一些网络。融为一体的话如何对齐输入数据??换句话说如何对齐任务?这是个问题。
(2)实际上线时,一般情况下输入的数据就只有用户的一句话,并没有所谓的主题等等,那这些模型的用武之地将会大大减少。
(3)对应技巧的监督数据难以获取。
(4) 未来的一些有前景的方向:
a: 多模态聊天,目前研究成果还远远不行
b: task-oriented and open-domain逐渐统一,尤其死基于knowledge的研究可以看出趋势,统一成一个模型
c: 语料的探索,为了解决语料不足的问题,目前虽然有很多工作比如用强化学习等方式,但是网上其实还是存在很多真实的聊天数据,如果能获得其实比用一些算法trick更管用,所以这里应该有一些专门的研究来收集清洗语料。
d: 模拟人的意图。
f: 对话包含一个长期的目的,而不能变来变去的。
后续有时间,再不断补充下对话方面的前沿paper吧(比如多模态方面的等等),今天就到这里啦~
关注
欢迎关注笔者微信公众号:

github:
知乎:
https://blog.csdn.net/weixin_42001089/article/details/121996529?spm=1001.2014.3001.5501
1965

被折叠的 条评论
为什么被折叠?



