机器学习与深度学习算法:面试准备
1 Bagging and Boosting
文章链接:Bagging and Boosting
Baggging 和Boosting都是模型融合的方法,可以将弱分类器融合之后形成一个强分类器,而且融合之后的效果会比最好的弱分类器更好。
Bagging:
其算法过程如下:
从原始样本集中抽取训练集。每轮从原始样本集中使用Bootstraping的方法抽取n个训练样本(在训练集中,有些样本可能被多次抽取到,而有些样本可能一次都没有被抽中)。共进行k轮抽取,得到k个训练集。(k个训练集之间是相互独立的)
每次使用一个训练集得到一个模型,k个训练集共得到k个模型。(注:这里并没有具体的分类算法或回归方法,我们可以根据具体问题采用不同的分类或回归方法,如决策树、感知器等)
对分类问题:将上步得到的k个模型采用投票的方式得到分类结果;对回归问题,计算上述模型的均值作为最后的结果。(所有模型的重要性相同)
Boosting:
其算法过程如下:
AdaBoosting方式每次使用的是全部的样本,每轮训练改变样本的权重。下一轮训练的目标是找到一个函数f 来拟合上一轮的残差。当残差足够小或者达到设置的最大迭代次数则停止。Boosting会减小在上一轮训练正确的样本的权重,增大错误样本的权重。(对的残差小,错的残差大)
梯度提升的Boosting方式是使用代价函数对上一轮训练出的模型函数f的偏导来拟合残差。
Bagging和Boosting的区别:
1)样本选择上:
Bagging:训练集是在原始集中有放回选取的,从原始集中选出的各轮训练集之间是独立的。
Boosting:每一轮的训练集不变,只是训练集中每个样例在分类器中的权重发生变化。而权值是根据上一轮的分类结果进行调整。
2)样例权重:
Bagging:使用均匀取样,每个样例的权重相等
Boosting:根据错误率不断调整样例的权值,错误率越大则权重越大。
3)预测函数:
Bagging:所有预测函数的权重相等。
Boosting:每个弱分类器都有相应的权重,对于分类误差小的分类器会有更大的权重。
4)并行计算:
Bagging:各个预测函数可以并行生成
Boosting:各个预测函数只能顺序生成,因为后一个模型参数需要前一轮模型的结果。
5)这个很重要面试被问到了
为什么说bagging是减少variance,而boosting是减少bias?
-
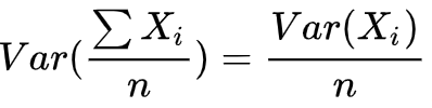
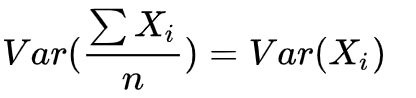
Bagging对样本重采样,对每一重采样得到的子样本集训练一个模型,最后取平均。由于子样本集的相似性以及使用的是同种模型,因此各模型有近似相等的bias和variance(事实上,各模型的分布也近似相同,但不独立)。由于

所以bagging后的bias和单个子模型的接近,一般来说不能显著降低bias。另一方面,若各子模型独立,则有

此时可以显著降低variance。若各子模型完全相同,则

此时不会降低variance。bagging方法得到的各子模型是有一定相关性的,属于上面两个极端状况的中间态,因此可以一定程度降低variance。为了进一步降低variance,Random forest通过随机选取变量子集做拟合的方式de-correlated了各子模型(树),使得variance进一步降低。 -
boosting从优化角度来看,是用forward-stagewise这种贪心法去最小化损失函数

例如,常见的AdaBoost即等价于用这种方法最小化exponential loss:L(y,f(x))=exp(-yf(x))。所谓forward-stagewise,就是在迭代的第n步,求解新的子模型f(x)及步长a(或者叫组合系数),来最小化

这里fn-1(x)是前n-1步得到的子模型的和。
因此boosting是在序列化最小化损失函数,其bias自然逐步下降。但由于是采取这种sequential、adaptive的策略,各子模型之间是强相关的,于是子模型之和并不能显著降低variance。所以说boosting主要还是靠降低bias来提升预测精度。
参考资料链接:
https://www.zhihu.com/question/26760839/answer/40337791
https://blog.csdn.net/u013709270/article/details/72553282
915

被折叠的 条评论
为什么被折叠?



