前一篇《带你走进微积分的堂学习:一阶线性微分方程式的基础原理》详细讨论了线性微分方程的结构以及通解特性,本篇我们借此机会指出一阶线性微分方程解的三个重要特征
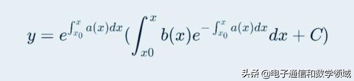
1)有一阶线性微分方程
的通解是
可以看出,它等于(1)的一个特解(对应于上式的C=0)再加相应的齐次线性(2)的通解,
因此如果求得非齐次线性微分方程(1)的一个特解为y=φ1(x)和相应的齐次线性方程(2)的通解,则(1)的通解为
本文深入探讨了一阶线性微分方程解的三个关键特征,包括通解结构、特定解与齐次解的关系,以及初值问题的唯一解性质。通过跳伞员下落的物理模型,解释了如何运用线性微分方程解决实际问题,展示了线性微分方程解相对于非线性方程在结构上的优势。
前一篇《带你走进微积分的堂学习:一阶线性微分方程式的基础原理》详细讨论了线性微分方程的结构以及通解特性,本篇我们借此机会指出一阶线性微分方程解的三个重要特征
1)有一阶线性微分方程
的通解是
可以看出,它等于(1)的一个特解(对应于上式的C=0)再加相应的齐次线性(2)的通解,
因此如果求得非齐次线性微分方程(1)的一个特解为y=φ1(x)和相应的齐次线性方程(2)的通解,则(1)的通解为
1925

被折叠的 条评论
为什么被折叠?