一、实际操作代码直接展示
1、绘制一个箱型图
fig = plt.figure(figsize=(4, 6)) # 指定绘图对象宽度和高度
sns.boxplot(train_data['V0'],orient="v", width=0.5)
# 这里的train_data是天池学习赛中预测蒸汽量的训练集

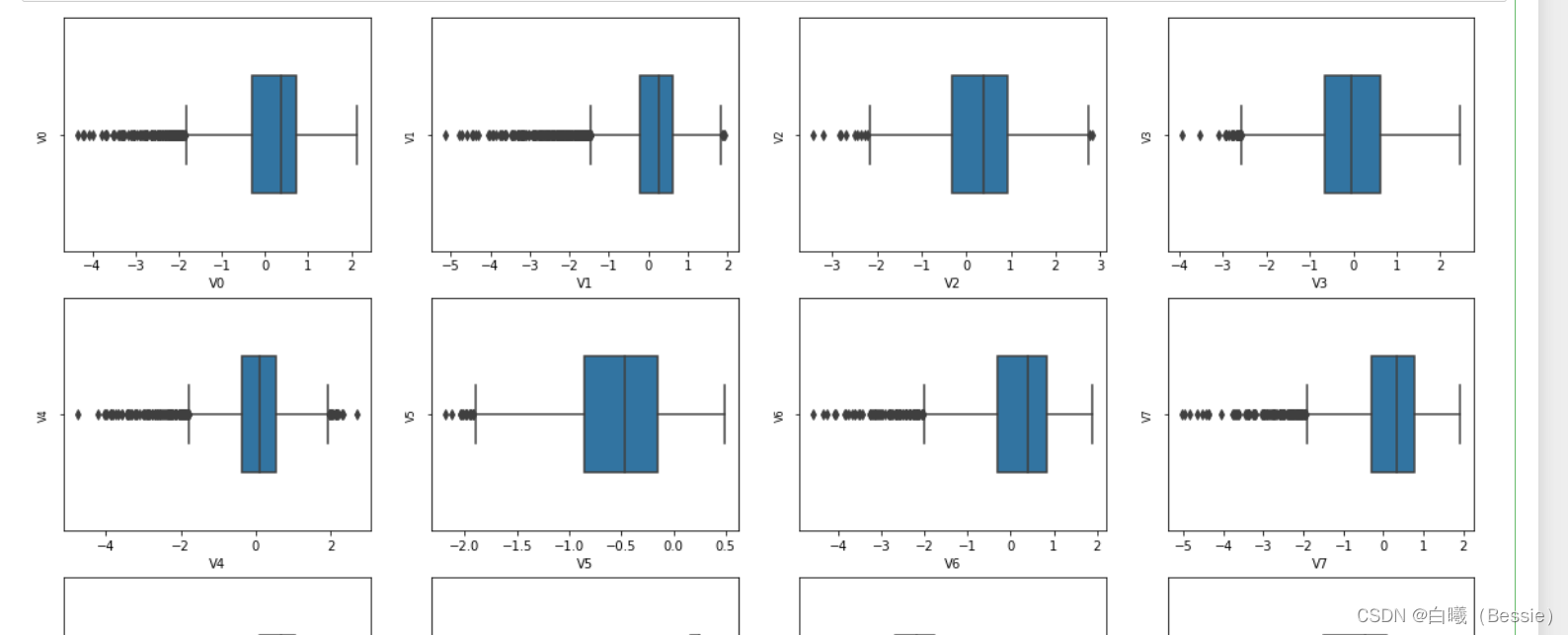
2、绘制一群箱型图
# 画箱式图
column = train_data.columns.tolist()[:39] # 列表头
fig = plt.figure(figsize=(20, 40)) # 指定绘图对象宽度和高度
for i in range(38):
plt.subplot(10, 4, i + 1) # 10行4列子图
# 箱式图
sns.boxplot(train_data[column[i]], orient="v", width=0.5)
plt.ylabel(column[i], fontsize=8)
plt.show()

二、官网API理解与代码分析
链接:戳一戳
1、各个参数解释
参数:
seaborn.boxplot(*, x=None, y=None, hue=None,
data=None, order=None, hue_order=None,
orient=None, color=None, palette=None,
saturation=0.75, width=0.8, dodge=True,
fliersize=5, linewidth=None, whis=1.5, ax=None, **kwargs)
x, y:用于绘制长格式数据的输入
data:DataFrame、数组或数组列表 用于绘图的数据集。如果x和y不存在,这被解释为宽格式。否则,它应该是长格式的。
order, hue_order:字符串列表
为了绘制分类级别,否则级别是从数据对象中推断出来的
orient:取值为:“v” 或者 “h”
绘图的方向(垂直或水平)。x这通常是根据输入变量的类型推断出来的,但是当和y都是数字或绘制宽格式数据时,它可以用来解决歧义。
color:所有元素的颜色,或渐变调色板的种子
palette:调色板名称、列表或字典
用于hue变量不同级别的颜色。应该是可以解释的东西color_palette(),或者是将色调级别映射到 matplotlib 颜色的字典。
saturation:绘制颜色的原始饱和度的比例。大色块通常看起来更好,颜色稍微不饱和,但 1如果您希望绘图颜色与输入颜色规范完美匹配,请将其设置为
width:不使用色调嵌套时整个元素的宽度,或主要分组变量的一级的所有元素的宽度。
dodge:使用色调嵌套时,是否应沿分类轴移动元素。
fliersize:用于指示异常值观测值的标记的大小。
linewidth:构成绘图元素的灰线的宽度。
whis:超出低四分位数和高四分位数的 IQR 的比例,以扩展绘图须线。超出此范围的点将被识别为异常值。
ax:将绘图绘制到的 Axes 对象,否则使用当前 Axes。
kwargs:其他关键字参数传递给 matplotlib.axes.Axes.boxplot().
2、官方文档中的实例解释







本文通过实例演示了如何使用Python的Seaborn库绘制箱型图,并提供了绘制单个及多个箱型图的具体代码。此外,还详细解析了boxplot函数的各项参数,帮助读者更好地理解和运用箱型图。

被折叠的 条评论
为什么被折叠?



