由于HashMap是线程不同步的,虽然处理数据的效率高,但是在多线程的情况下存在着安全问题,因此设计了CurrentHashMap来解决多线程安全问题。
HashMap在put的时候,插入的元素超过了容量(由负载因子决定)的范围就会触发扩容操作,就是rehash,这个会重新将原数组的内容重新hash到新的扩容数组中,在多线程的环境下,存在同时其他的元素也在进行put操作,如果hash值相同,可能出现同时在同一数组下用链表表示,造成闭环,导致在get时会出现死循环,所以HashMap是线程不安全的。
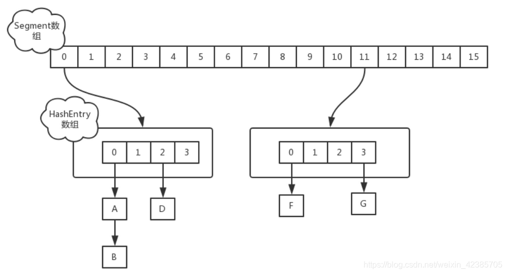
在JDK1.7版本中,ConcurrentHashMap的数据结构是由一个Segment数组和多个HashEntry组成,主要实现原理是实现了锁分离的思路解决了多线程的安全问题
put和 get 两次Hash到达指定的HashEntry,第一次hash到达Segment,第二次到达Segment里面的Entry,然后在遍历entry链表.

JDK1.8的实现已经摒弃了Segment的概念,而是直接用Node数组+链表+红黑树的数据结构来实现,并发控制使用Synchronized和CAS来操作,整个看起来就像是优化过且线程安全的HashMap。

本文深入探讨了HashMap与ConcurrentHashMap在数据结构、线程安全性及性能上的区别。详细解析了HashMap在多线程环境下的线程不安全问题,以及ConcurrentHashMap如何通过锁分离和CAS操作解决这些问题。
4365

被折叠的 条评论
为什么被折叠?



