一、题目描述
原文链接:环形链表 II
具体描述:
给定一个链表的头节点 head ,返回链表开始入环的第一个节点。 如果链表无环,则返回 null。
如果链表中有某个节点,可以通过连续跟踪 next 指针再次到达,则链表中存在环。 为了表示给定链表中的环,评测系统内部使用整数 pos 来表示链表尾连接到链表中的位置(索引从 0 开始)。如果 pos 是 -1,则在该链表中没有环。注意:pos 不作为参数进行传递,仅仅是为了标识链表的实际情况。
不允许修改 链表。
示例 1:

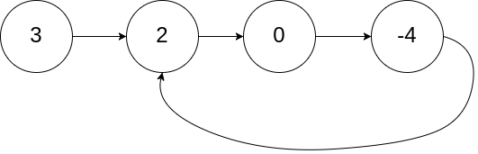
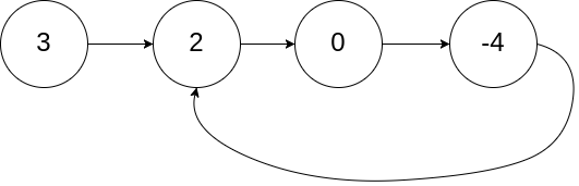
输入:head = [3,2,0,-4], pos = 1
输出:返回索引为 1 的链表节点
解释:链表中有一个环,其尾部连接到第二个节点。
示例 2:

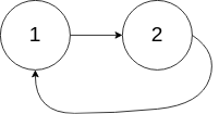
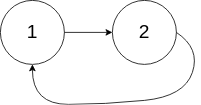
输入:head = [1,2], pos = 0
输出:返回索引为 0 的链表节点
解释:链表中有一个环,其尾部连接到第一个节点。
示例 3:

输入:head = [1], pos = -1
输出:返回 null
解释:链表中没有环。
提示:
- 链表中节点的数目范围在范围
[0, 10^4]内 -105 <= Node.val <= 105pos的值为-1或者链表中的一个有效索引
分析:
解释一下题目,这题目简直太有迷惑啦!明明方法参数只有链表,那来的POS指针,逗我玩那?其实他是这样的POS指针跟我们没有关系,仔细读这句话就清楚啦评测系统内部使用整数 pos 来表示...评测系统自己用的,我们就无需搭理它,我们只需要这道题目是让我们判断这个链表有没有环,有环的话返回环的入口!没有则返回null!
二、思路分析
这道题目考察的双指针当中的快慢指针!还有两个性质!
性质一:快指针每次走两步,慢指针每次走一步,当快指针与慢指针相遇则证明链表中一定存在环!
为什么那?我们可以随便举几个例子!
先看看示例1:

快指针路径:0=》2=》-4
慢指针路径:2=》0=》-4
快慢指针相遇!并且是有环的!
再看看示例2:

快指针路径:1=》1
慢指针路径:2=》1=》-4
快慢指针相遇!并且是有环的!
在看看没有环的:

快指针路径:null
慢指针路径:1
就一遍结束啦!
通过举例子可以说明,快慢指针只要相遇一定存在环,就像两个人同时跑步,我们需要绕着操场一直不停的跑,跑得快的一定会和慢的再次相遇,此时操场就是一个环!如果按直线跑,两人一定不会相遇!
补充一点:如果跑得快的人的速度是慢的人两倍的话,到第一圈的终点两个人会相遇!假设两个人两个人不是从跑到的起点开始的(也就是说不是从环的入口开始),两个人都同一个宿舍楼出发到操场(这是直线)的话,那么慢的人还没有跑一圈,两个人就会相遇!
总结一下:当快指针的速度是慢指针速度两倍的之后,两人必定会相遇,并且慢指针最多跑了一圈!
性质二:如果链表当中存在环,则链表的起始位置到环的入口的长度 **等于** 快慢指针相遇的地方到环入口的长度!
为什么那?我们来证明一下!

假设head到环入口距离为x,环入口到相遇点距离为y,相遇点到环入口为z(圈不住这块,所以就没有话!很难受!)
这里有个等式,快指针走过的节点数一定是慢指针的两倍!(快指针的速度正好是慢指针的两倍)
x + y + n * (y + z) = (x + y) * 2
我们是要求x,所以可以推出
n * (y + z) = x + y
x = n * (y + z) - y
x = (n - 1)(y + z) + z
注意慢指针走的距离是(x + y) * 2不是(x + ny) * 2!
因为我们刚才讲过了,快指针速度是慢指针两倍的时候,慢指针最多走一圈就会相遇!
首先我们知道n肯定是>=1的!(n是圈数)
如果n=1,则x=z,说明相遇点到环入口的距离等于head到环入口的距离!
如果n>1,则说明快指针多转了几圈,然后到达相遇点, 还是可以说明x=z,相遇点到环入口的距离等于head到环入口的距离!
三、AC代码
public class Solution {
public ListNode detectCycle(ListNode head) {
ListNode slow = head;
ListNode fast = head;
while (fast != null && fast.next != null){
slow = slow.next;
fast = fast.next.next;
// 存在环
if (slow == fast) {
ListNode index1 = head;
ListNode index2 = slow;
// 从头到环入口的距离等于从相遇点到环的入口
while (index1 != index2){
index1 = index1.next;
index2 = index2.next;
}
return index1;
}
}
return null;
}
}
四、总结
- 快慢指针还可以倍速的方式前进
- 当快指针速度是慢指针速度两倍的时候,如果相遇一定有环
- 如果有环,则慢指针最多走了一圈
- 相遇点到环入口一定等于起点到环入口的距离!
感谢大家的阅读,我是Alson_Code,一个喜欢把简单问题复杂化,把复杂问题简单化的程序猿! ❤
本文介绍了如何使用快慢指针法解决链表中环的检测问题。当快指针与慢指针相遇时,证明链表存在环。如果相遇点到环入口的距离等于链表头到环入口的距离,那么可以找到环的入口节点。AC代码展示了具体的实现过程。
1094

被折叠的 条评论
为什么被折叠?



