title: 卷积的感受野
date: 2022-06-14 19:52:38
tags: 深度学习基础
卷积的感受野
文章目录
什么是感受野
是指输出特征图上某个像素对应到输入空间(原图)中的区域范围。所以感受野可以理解为特征图像素到输入区域的映射。

如图所示,黄色部分为最外层输出特征;左上角像素对应的内层的感受野为绿色区域,依次类推,最后推到原图上区域。
为什么浅层特征预测小目标,深层特征预测大目标
很显然,深层特征,即黄色特征映射回原图,感受野大,能够捕捉到大目标的全部特征,所以深层特征预测大目标。
蓝色(浅层)特征,感,受野小,对于小目标来说,能够很全面的捕捉到其特征,所以浅层特征预测大目标。
反过来想:如果浅层特征预测大目标,由于感受野太小,只能看到大目标的一部分特征(大象的一部分),就会有盲人摸象的意思,全靠猜。
深层特征检测大目标,为什么不同时检测小目标?
深层特征有足够大的感受野,感受野大于检测的目标,理论上来说就可以检测到结果。按照道理肯定也能检测小目标。
简单来说是因为stride太大,层层卷积之后,Feature map逐渐减小,感受野逐渐增大。检测的时候在feature map上的每个像素点生成指定scale rato的Anchor,由于feature map小,产生的anchor覆盖密度就越低,那么anchor映射回原图因为非极大值抑制(nms)过滤掉,所以小目标也检不出来。
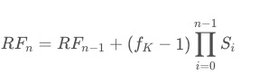
怎么计算感受野

- R F n 表 示 第 n 层 的 感 受 野 , 第 0 层 的 感 受 野 默 认 为 1 RF_n表示第 n层的感受野,第0层的感受野默认为1 RFn表示第n层的感受野,第0层的感受野默认为1
- f K 表 示 卷 积 核 的 大 小 f_K 表示卷积核的大小 fK表示卷积核的大小
- S i 表 示 第 i 层 的 步 长 S_i表示第i层的步长 Si表示第i层的步长
计算感受野示例
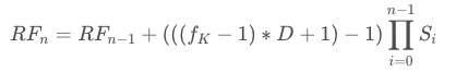
当卷积为空洞卷积的时候,卷积核的大小计算公式如下
[外链图片转存失败,源站可能有防盗链机制,建议将图片保存下来直接上传(img-pgzKoXeB-1655214690504)(https://raw.githubusercontent.com/stepstep123/TestUploadImage/master/20220614_3.jpg)]
- D表示膨胀系数,默认为1即为常规卷积,D等于2的时候卷积核间出现一个空洞
那么感受野的通用公式变为

- conv 3*3 stride=2 Dilation=2 Padding=2
- conv 5*5 stride=2 Dilation=2 Padding=0
- conv 3*3 stride=1 Dilation=1 Padding=1
- conv 3*3 stride=1 Dilation=3 Padding=1
- conv 7*7 stride=2 Dilation=2 Padding=1
计算过程
- 第零层的感受野是1
- 第一层的感受野是 1 + ((3-1)* 2 + 1)- 1 = 5
- 第二层的感受野是 5 + (((5-1)2 + 1)- 1) 2 = 21
- 第三层的感受野是 21 + (3 -1)* 2 * 2 = 29
- 第四层的感受野是 29 + (((3 - 1) * 3 + 1) - 1) * 2 * 2 = 53
- 第五层的感受野是53 + ((((7 - 1)* 2 + 1)- 1)* 2 * 2 = 101
解析:
- 如果Dilation=1,那么卷积核是多少就是多少
- 如果Dilation>1,那么就用公式替换之前的卷积核
- 对前n-1层的步长累乘
有效感受野(Effective Reception Field, ERF)
有效感受野指的是并不是感受野内所有像素对输出向量的贡献相同,在很多情况下感受野区域内的影响分别是高斯,有效感受野仅占理论感受野的一部分,其高斯分布从中心到边缘快速衰减。

其实很好理解,我们来分析第1层,下图标出了conv3x3 s1卷积操作对每个输入值的使用次数,用蓝色数字表示,很明显越靠近感受野中心的值被使用次数越多,靠近边缘的值使用次数越少。5x5输入是特殊情况刚好符合高斯分布,3x3输入时所有值的使用次数都是1,大于5x5输入时大部分位于中心区域的值使用次数都是9,边缘衰减到1。每个卷积层都有这种规律,经过多层堆叠,总体感受野就会呈现高斯分布。

1万+

被折叠的 条评论
为什么被折叠?



