跟踪门
跟踪门的作用是将观测回波分配给已建立的目标轨迹或者新目标轨迹的一种粗略检验方法, 是机动目标跟踪中首当其冲的问题 。跟踪门是跟踪空间中的一块子空间 ,中心位于被跟踪目标的预测状态 ,其大小由接收正确回波的概率确定。设置的跟踪门的质量好坏直接影响着数据关联算法的计算量的大小 ,也影咱着跟踪起始和跟踪终结以及航迹质量 。
在多目标跟踪的数据关联过程 中 ,如果没有量测落跟踪门内 ,则用目标状态的一次预测更新航迹 ; 如果只有单个量测落在被跟踪目标的跟踪门内 , 则此量测被直接用于轨迹更新 ; 如果多于一个以上的量测落在被跟踪目标的跟踪门内 , 或一个量测同时落入多个目标的跟踪门内 , 则需要更复杂的数据关联算法 。
定义:滤波残差,是考虑一个处于跟踪维持阶段的目标(已经初始化),设 k-1 时刻状态变量的滤波预报值为 x k ∣ k − 1 x_{k|k-1} xk∣k−1,通过观测方程可以求出 k 时刻量测的预报值 z k ∣ k − 1 z_{k|k-1} zk∣k−1,它与k时刻量测信号之差为滤波残差向量。
滤波残差向量:
z
~
k
∣
k
−
1
=
z
k
−
z
^
k
∣
k
−
1
\tilde{z}_{k|k-1} = z_k - \hat z_{k|k-1}
z~k∣k−1=zk−z^k∣k−1
其中:
z
^
k
∣
k
−
1
=
H
k
x
^
k
∣
k
−
1
\hat z_{k|k-1} = H_k \hat x_{k|k-1}
z^k∣k−1=Hkx^k∣k−1
定义:残差协方差矩阵 S k S_k Sk
- 已知: z k = H k x k + v k z_k = H_kx_k + v_k zk=Hkxk+vk
- 定义: S k = H k P k ∣ k − 1 H k T S_k = H_k P_{k|k-1} H^T_k Sk=HkPk∣k−1HkT
定义:残差向量范数
d
k
2
d_k^2
dk2
d
k
2
=
z
~
k
∣
k
−
1
T
S
k
−
1
z
~
k
∣
k
−
1
d_k^2 = \tilde z_{k|k-1}^TS_k^{-1}\tilde z_{k|k-1}
dk2=z~k∣k−1TSk−1z~k∣k−1
矩形跟踪门
矩形跟踪门是定义在跟踪区间内一块矩形区域 , 它是最简单的一种跟踪门。 矩形跟踪门是目标预测值
(
x
0
,
y
0
)
(x_0, y_0)
(x0,y0) 为 中心 ,
y
y
y 方向上加减
△
x
\triangle x
△x ,
y
y
y方 向上加减
△
y
\triangle y
△y 所 形成的一块 区域 , 当量测值
(
x
,
y
)
(x,y)
(x,y)满足:
∣
x
−
x
0
∣
≤
△
x
∣
y
−
y
0
∣
≤
△
y
|x - x_0| \leq \triangle x \\ |y - y_0| \leq \triangle y
∣x−x0∣≤△x∣y−y0∣≤△y
时,则量测——目标关联成功
设
v
k
i
v_k^i
vki,
z
k
i
z_k^i
zki和
z
^
k
∣
k
−
1
i
\hat z_{k|k-1}^i
z^k∣k−1i分别为残差
v
k
v_k
vk,量测
Z
k
Z_k
Zk和预测量
Z
^
k
∣
k
−
1
\hat Z_{k|k-1}
Z^k∣k−1的第
i
i
i个分量,
K
G
K_G
KG为跟踪门常数且所有的
K
G
K_G
KG是相等的,若量测
Z
k
Z_k
Zk满足:
∣
z
k
i
−
z
^
k
∣
k
−
1
i
=
∣
v
k
i
∣
≤
K
G
σ
n
(
i
=
1
,
2
,
.
.
.
,
M
)
|z^i_k - \hat z_{k|k-1}^i = |v_k^i| \leq K_G\sigma_n \quad (i=1,2,...,M)
∣zki−z^k∣k−1i=∣vki∣≤KGσn(i=1,2,...,M)
时,称为
Z
k
Z_k
Zk为候选回波。
σ
n
\sigma_n
σn为第
i
i
i个残差的标准偏差,其大小为:
σ
n
=
σ
o
i
2
+
σ
p
i
2
\sigma_n = \sqrt{\sigma_{oi}^2 + \sigma_{pi}^2}
σn=σoi2+σpi2
式中
- σ o i 2 \sigma_{oi}^2 σoi2——第 i i i 个量测噪声方差
- σ p i 2 \sigma_{pi}^2 σpi2——预测协方差矩阵的第 i i i 个对角线元素
正确回波被矩形跟踪门接受的概率 P G P_G PG为:

正确回波被矩形跟踪门拒绝的概率
P
ˉ
G
\bar P_G
PˉG为:
P
ˉ
G
=
P
(
∣
t
∣
>
K
G
)
=
1
−
P
G
\bar P_G = P(|t| > K_G) = 1- P_G
PˉG=P(∣t∣>KG)=1−PG
其中,随机变量 t 服从标准正太分布N(0,1)
t
=
e
−
u
2
/
2
2
π
t= \frac{e^{-u^2/2}}{\sqrt{2\pi}}
t=2πe−u2/2
当所选概率
P
ˉ
G
\bar P_G
PˉG教小时,式(3-5)可近似为:
P
g
≈
1
−
M
P
ˉ
G
P_g \approx 1-M\bar P_G
Pg≈1−MPˉG
M为矩形跟踪门的维数,跟踪门体积为:

残差方差归一化的 M 维矩形跟踪门体积为:
V
G
R
2
(
M
)
=
(
2
K
G
)
M
V_{GR2} (M) = (2K_G)^M
VGR2(M)=(2KG)M
上述结论是建立在所有跟踪门常数 K_G 相同的假设之上的,若每一个残差分量
v
k
i
v_k^i
vki对应不同的跟踪门常数
K
G
i
K_{Gi}
KGi,M维矩形跟踪门体积公式的相应变为:

2.椭球门跟踪门
椭球跟踪门是应用最广泛的一种跟踪门,设
γ
\gamma
γ为椭球跟踪门的门限大小,如回波
Z
k
Z_k
Zk满足下式:
g
k
=
v
k
T
S
k
−
1
v
k
≤
γ
(3-13)
g_k = v^T_kS^{-1}_kv_k \leq \gamma \tag{3-13}
gk=vkTSk−1vk≤γ(3-13)
时,称
Z
k
Z_k
Zk为候选回波,这就是椭球跟踪门的规则
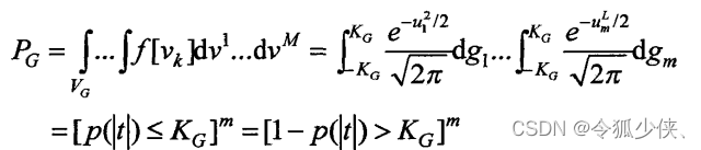
正确回波被椭球跟踪门接收的概率为:
P
G
(
M
)
=
P
(
χ
m
2
)
=
∫
.
.
.
∫
f
[
v
k
]
d
v
1
.
.
.
d
v
M
(3-14)
P_G(M) = P(\chi_m^2) = \int ...\int f[v_k]dv^1...dv^M \tag{3-14}
PG(M)=P(χm2)=∫...∫f[vk]dv1...dvM(3-14)
正确回波被椭跟踪门接收的概率为:
P
ˉ
(
M
)
=
P
(
χ
m
2
≥
γ
)
=
1
−
P
G
(
M
)
(3-15)
\bar P(M)= P(\chi_m^2 \geq \gamma) = 1-P_G(M) \tag{3-15}
Pˉ(M)=P(χm2≥γ)=1−PG(M)(3-15)
对(3-13)施行从v到w的变换,则跟踪门规则变为:
(
w
1
)
2
σ
w
1
2
+
(
w
2
)
2
σ
w
2
2
+
.
.
.
+
(
w
M
)
2
σ
w
M
2
≤
γ
(3-16)
\frac{(w^1)^2}{\sigma^2_{w^1}} + \frac{(w^2)^2}{\sigma^2_{w^2}} +...+\frac{(w^M)^2}{\sigma^2_{w^M}} \leq \gamma \tag{3-16}
σw12(w1)2+σw22(w2)2+...+σwM2(wM)2≤γ(3-16)
进一步施行
d
i
=
w
i
/
σ
w
i
d_i = w^i/\sigma_{w^i}
di=wi/σwi变换,(3-16)变为:
r
2
=
d
1
2
+
d
2
2
+
.
.
.
+
d
m
2
≤
γ
(3-17)
r^2 = d_1^2 + d_2^2 + ... + d_m^2 \leq \gamma \tag{3-17}
r2=d12+d22+...+dm2≤γ(3-17)
再令
L
=
r
2
L =r^2
L=r2,经推导可知:
f
(
L
)
=
L
M
2
−
1
e
−
L
2
2
M
2
Γ
M
2
(3-18)
f(L) = \frac{L^{\frac{M}{2} -1} e{\frac{-L}{2}}}{2^{\frac{M}{2}} \Gamma^{\frac{M}{2}}} \tag{3-18}
f(L)=22MΓ2ML2M−1e2−L(3-18)
从而有:
P
G
(
M
)
=
∫
0
γ
f
(
L
)
d
L
(3-19)
P_G(M) = \int_{0}^{\gamma} f(L)dL \tag{3-19}
PG(M)=∫0γf(L)dL(3-19)
M维椭球跟踪门的体积为:
V
G
E
1
(
M
)
=
C
M
∣
S
k
∣
γ
M
2
V_{GE1}(M) = C_M \sqrt{|S_k|} {\gamma}^{\frac{M}{2}}
VGE1(M)=CM∣Sk∣γ2M
残差方差归一化的M维椭球跟踪门的体积为:
V
G
E
2
(
M
)
=
C
M
γ
M
2
V_{GE2}(M)= C_M \gamma^{\frac{M}{2}}
VGE2(M)=CMγ2M
式中:
C
M
=
π
M
2
Γ
(
M
2
)
C_M = \frac{\pi^{\frac{M}{2}}}{\Gamma (\frac{M}{2})}
CM=Γ(2M)π2M
多重跟踪门
矩形跟踪门和椭球跟踪门都是以正确的滤波模型为基础的。在实际的目标跟踪过程中如果目标发生机动,就会引起跟踪门的中心发生偏差。在整个跟踪过程中,拒绝正确回波的概率不断累积就可能产生较大的误差。多重跟踪门可以解决这个问题:按照目标机动和非机动设置多重跟踪门。内层的跟踪门是利用协方差矩阵设定的非机动跟踪门。外层的较大的机动跟踪门则根据更为精确的目标可能运动轨迹模型设定。多重跟踪门还可用于慕白机动辨别,当测量落入里层跟踪门内时,表示目标未发生机动;当测量落入外层跟踪门内时,表示目标发生机动。
概率数据关联算法
贝叶斯算法:
- 只对最新的确认量测集合进行研究,是一种次优的贝叶斯算法,包括最近邻域算法、概率数据互联算法、联合概率数据互联算法
- 概率数据互联算法和联合概率数据互联算法是计算当前时刻最新确认量测是来自目标的正确概率,并利用这些概率进行加权以获得目标的状态估计
- 对当前时刻以前的所有确认量测集合进行研究,给出每个量测序列的概率,它是一种最优的贝叶斯算法,主要包括最优贝叶斯算法和多假设法。
最近邻法(NN)
在1973年,Singer和Sea推广和发展了一种利用先验统计特性估计相关性能的最优跟踪滤波器即最近邻数据关联滤波(NNDA)
最近邻 NN是最早提出的数据关联方法 , 也 是最简单有效 的关联方法之 一 。 NN算法 的前提是认为一个量测 最多只能跟一条目标运动轨迹关联 , 一条 目 标轨迹也只能和 一个量测关联 , 即量测 与目标之间的关系是一一对应 的。 NN把落入关联门之內并且与在统计意义上离跟踪目标预测位宣最近 的观测 点作为关联点迹 , 即对于落入某个跟踪目标跟踪门内的量测
z
(
k
)
z(k)
z(k),若
z
(
k
)
z(k)
z(k)使得:
d
2
(
z
(
k
)
)
=
[
z
(
k
)
−
z
^
(
k
∣
k
−
1
)
]
T
S
−
1
(
k
)
−
z
^
(
k
∣
k
−
1
)
]
=
v
T
(
k
)
S
−
1
(
k
)
v
(
k
)
d^2(z(k)) = [z(k) - \hat z(k|k-1)]^TS^{-1}(k)-\hat z(k|k-1)] \\ = v^T(k)S^{-1}(k)v(k)
d2(z(k))=[z(k)−z^(k∣k−1)]TS−1(k)−z^(k∣k−1)]=vT(k)S−1(k)v(k)
取值最小,则
z
(
k
)
z(k)
z(k)被认为与被跟踪的目标轨迹关联,可以用来更新目标状态。
跟踪门大小的设计应保证以一定的概率接收正确回波,落入跟踪门内的量测即作为候选回波,也就是看目标的量测值
z
(
k
)
z_(k)
z(k)是否满足:
d
2
(
z
(
k
)
)
=
[
z
(
k
)
−
z
^
(
k
∣
k
−
1
)
]
T
S
−
1
(
k
)
−
z
^
(
k
∣
k
−
1
)
]
=
v
T
(
k
)
S
−
1
(
k
)
v
(
k
)
≤
γ
d^2(z(k)) = [z(k) - \hat z(k|k-1)]^TS^{-1}(k)-\hat z(k|k-1)] =\\ v^T(k)S^{-1}(k)v(k) \leq \gamma
d2(z(k))=[z(k)−z^(k∣k−1)]TS−1(k)−z^(k∣k−1)]=vT(k)S−1(k)v(k)≤γ
式中:
- 目标预测位置 z ^ ( k + 1 ∣ k ) = H . x ^ ( k + 1 ∣ k ) \hat z(k+1|k) = H.\hat x(k+1|k) z^(k+1∣k)=H.x^(k+1∣k),
- v ( k + 1 ) − z ^ ( k + 1 ∣ k ) v(k+1)-\hat z(k+1|k) v(k+1)−z^(k+1∣k)表示新息(滤波器的残差)
- S ( k + 1 ) S(k+1) S(k+1)表示 v ( k + 1 ) v(k+1) v(k+1)的协方差, γ \gamma γ 为跟踪门限值。
若落入相关波门内的量测值只有1个,该量测值可被直接用于航迹更新;但若有一个以上的回波落在被跟踪目标的相关波门内,此时要取统计距离最小的候选回波作为目标回波,也就是使新息加权范数:
d
2
(
z
(
k
)
)
=
[
z
(
k
)
−
z
^
(
k
∣
k
−
1
)
]
T
S
−
1
(
k
)
[
z
(
k
)
−
z
^
(
k
∣
k
−
1
)
]
d^2(z(k)) = [z(k) - \hat z(k|k-1)]^TS^{-1}(k)[z(k) - \hat z(k|k-1)]
d2(z(k))=[z(k)−z^(k∣k−1)]TS−1(k)[z(k)−z^(k∣k−1)]
达到极小的量测。
d
(
z
(
k
)
)
d(z(k))
d(z(k))表示
z
^
(
k
∣
k
−
1
)
\hat z(k|k-1)
z^(k∣k−1)与有效回波
z
(
k
)
z(k)
z(k)之间的距离。
NN算法选取量测与跟踪门中心的最近统计距离为数据关联标准 , 该算法具有运算量小、 易于实现 的优点 。 但在实际目标跟踪过程 中 , 满足这种标准的量测未必就是与目标对应的量测,尤其是环境中多个目标的跟踪口交叉时 ,NN 算法容易出现较大的关联误差 。 所以, 对于稀疏目标环境的目标跟踪可以选用NN算法 。 当环境中的目标密度较大 时,NN算法误差较大 , 应选用别的关联算法。
概率数据关联算法(PDA)
概述数据关联(PDA)是Bar-Shalom和Jaffer提出的。这种算法将目标跟踪转换为计算每一测量
z
(
k
)
z(k)
z(k) 来自跟踪目标这一事件的概率,在杂波环境下有很好的跟踪性能,非常适用于杂波环境下的目标跟踪,在目标跟踪领域有着广泛的应用。
概率数据关算法的基本思想:事先假设在密集杂波环境下仅有一个目标存在,并且这个目标的运动轨迹已经存在。在某一时刻,探测器接收到多组量测值(回波),首先利用跟踪门规则对所有接收到的量测数据进行处理,初步建立起观测回波与目标的匹配关系,然后考虑跟踪门内的所有候选回波量测,并根据大量的相关情况计算出每个候选回波源于目标的概率及所有后选回波的加权和,最后利用它来更新目标的状态。
设
Z
(
k
)
=
{
z
j
(
k
)
}
j
=
1
m
Z(k)= \{z_j(k)\}_{j=1}^m
Z(k)={zj(k)}j=1m 表示 k时刻收集到的量测的集合, m表示在 k 时刻确认的量测的个数,
Z
k
=
{
Z
(
j
)
}
j
=
1
k
Z^k = \{Z(j)\}_{j=1}^k
Zk={Z(j)}j=1k 表示截止到 k 时刻的累积的所有量测的集合。
概率数据关联理论是基于以下三个假设的基础之上的:
- 虚假量测在跟踪门中均匀分布
- 正确的量测服从正太分布
- 在杂波环境下仅有一个已经形成航迹的目标存在。
概率数据关联算法的数学描述如下:在 k 时刻有 m 哥量测落入有效探测范围内,第 j 个有效探测
z
j
(
k
)
z_j(k)
zj(k)源于目标的概率为:
β
j
=
e
j
b
+
∑
j
=
1
m
e
j
\beta _j = \frac{e_j}{b + \sum_{j=1}^m e_j}
βj=b+∑j=1mejej
m 个量测中没有一个来自目标的量测的概率为:
β
0
=
b
b
+
∑
j
=
1
m
e
j
\beta _0 = \frac{b}{b + \sum_{j=1}^m e_j}
β0=b+∑j=1mejb
其中
e
j
=
e
x
p
{
−
v
j
T
(
k
)
S
−
1
v
j
(
k
)
/
2
}
e_j=exp\{-v_j^T(k)S^{-1}v_j(k)/2\}
ej=exp{−vjT(k)S−1vj(k)/2},
v
j
(
k
)
v_j(k)
vj(k)是
z
j
(
k
)
z_j(k)
zj(k)的新息,
S
(
k
)
S(k)
S(k)为量测的协方差。
对于参数模型的概率数据滤波算法,上述两式中的b由下式给定:
b
=
λ
∣
2
π
S
(
k
)
∣
1
−
P
D
P
G
P
D
b = \lambda |\sqrt{2\pi S(k)|}\frac{1-P_DP_G}{P_D}
b=λ∣2πS(k)∣PD1−PDPG
式中:
- λ \lambda λ——杂波的空间分布密度
- P D P_D PD——目标检测概率
- P G P_G PG——目标的量测落入跟踪门的概率
对于非参数模型的概率数据关联算法,b的表示形式与参数模型的相同,不同之处在于,式子中的 λ \lambda λ用 m V \frac{m}{V} Vm替换, V V V是指有效探测范围的面积或者体积。
PDA算法中的目标状态估计的更新方程为:
x
^
(
k
∣
k
)
=
x
^
(
k
∣
k
−
1
)
+
K
(
k
)
v
(
k
)
\hat x(k|k) = \hat x(k|k-1) + K(k)v(k)
x^(k∣k)=x^(k∣k−1)+K(k)v(k)
式中:
x ^ ( k ∣ k ) \hat x(k|k) x^(k∣k)——状态更新估计
x ^ ( k ∣ k − 1 ) \hat x(k|k-1) x^(k∣k−1)——状态预测值
K ( k ) K(k) K(k)——卡尔曼增益
v
(
k
)
v(k)
v(k)——组合新息
v
(
k
)
=
∑
j
=
1
m
β
j
v
j
(
k
)
v(k) = \sum_{j=1}^m \beta_jv_j(k)
v(k)=j=1∑mβjvj(k)
v j ( k ) = z j ( k ) − h ( k ) x ^ ( k ∣ k − 1 ) v_j(k)= z_j(k)-h(k)\hat x(k|k-1) vj(k)=zj(k)−h(k)x^(k∣k−1)
目标状态更新估计的协方差:
P
(
k
∣
k
)
=
β
0
P
(
k
∣
k
−
1
)
+
[
1
−
β
0
]
P
c
(
k
)
+
P
~
(
k
)
P(k|k) = \beta_0P(k|k-1) + [1-\beta_0]P^c(k) + \tilde P(k)
P(k∣k)=β0P(k∣k−1)+[1−β0]Pc(k)+P~(k)
其中:
P
c
(
k
)
=
P
(
k
∣
k
−
1
)
−
K
(
k
)
S
(
k
)
K
T
(
k
)
P
~
c
(
k
)
=
K
(
k
)
[
∑
j
=
1
m
β
j
v
j
(
k
)
v
T
(
k
)
−
v
(
k
)
v
T
(
k
)
]
K
T
(
k
)
P^c(k) =P(k|k-1) - K(k)S(k)K^T(k) \\ \tilde P^c(k) = K(k)[\sum_{j=1}^m \beta_j v_j(k)v^T(k) - v(k)v^T(k)]K^T(k)
Pc(k)=P(k∣k−1)−K(k)S(k)KT(k)P~c(k)=K(k)[j=1∑mβjvj(k)vT(k)−v(k)vT(k)]KT(k)
P
c
(
k
)
P^c(k)
Pc(k)为仅有一个测量值被接收时的协方差矩阵,
P
~
c
(
k
)
\tilde P^c(k)
P~c(k)为等效协方差矩阵。
PDA算法充分利用了跟踪门内的所有候选测量点来获取等效测量值,相当于最近邻简单的一一对应所能提供的信息更多。
PDA算法的跟踪滤波采用的是标准卡尔曼滤波算法,所需的存储量与标准卡尔曼滤波几乎相等,在哪计算上比较简单,易于实现。
PDA算法在杂波环境中具有较大的跟踪性能,适用杂波环境中目标跟踪,但算法仅适用于目标密度较稀疏的跟踪环境,对于密集目标容易发生误跟。
PDA算法是在独立一致空间分布的情况下,将所有不正确的量测建立为“随机干扰”模型,因此对于多目标情况下,进邻目标的存在会引起模型不正确,其性能急剧下降。Bar-Shalom等人在PDA算法的基础上,提出了适用跟踪多个目标的一种数据关联算法,就是著名的联合概率数据关联JPDA算法。
联合概率数据关联算法JPDA
用于多目标跟踪的联合概率数据互联JPDA算法是Bar-Shalom和他的学生在仅适用单目标跟踪的概率数据互联算法PDA的基础上提出的,该方法不需要关于目标和杂波的任何先验信息,但却充分利用了跟踪门内的所有回波来获取可能的后验信息。
JPDA算法目前是公认的在杂波环境中解决密集量测下多目标数据关联最有效的算法之一,其目标跟踪成功率在各种环境下都很高。JPDA算法对所有可能的目标关联解进行搜索,并在此基础上计算出最佳关联概率。
在联合概率数据关联算法中,Bar-shalom首先引进了"聚"的概念。”聚"的定义为彼此相交的跟踪门的最大集合,目标按不同的聚为不同的群。对于每一个这样的群,总有一个二进制元素的矩阵E与其关联。

其中 ξ i j \xi_{ij} ξij当 j ≠ 0 j\neq 0 j=0时表示第 i 个量测可能来自 就 j 个目标, ξ i j = 1 \xi_{ij}=1 ξij=1 表示第 i 个量测落入目标 j 的跟踪门内, ξ i j = 0 \xi_{ij}=0 ξij=0 则表示第 i 个量测落入目标 j 的跟踪门外;当 j = 0 j=0 j=0时则表示第 i 个量测不属于任何目标,此时E对应的第一列全为1,因此任何量测都可能源于杂波或虚警。JPDA的目的就是计算每个量测与其可能的关联目标的关联概率。
设$\theta (k) = {\theta_t(k)}_{t=1}^{n_k} 表示在 k 时刻所有可能的联合事件的集合, 表示在 k 时刻所有可能的联合事件的集合, 表示在k时刻所有可能的联合事件的集合,n_k 表示集合 表示集合 表示集合\theta(k)$中的元素的个数,其中 θ t ( k ) = ⋃ i = 1 ξ θ i j t ( k ) \theta_t(k) = \bigcup_{i=1}^{\xi}\theta _{ij}^t(k) θt(k)=⋃i=1ξθijt(k) 代表 第t 个联合事件,它表示 i 个量测匹配于歌自目标的一种可能, θ i j t ( k ) \theta _{ij}^t(k) θijt(k)表示量测 i 在第 t个联合事件中源于目标 j i ( 0 ≤ j i ≤ n ) j_i(0 \leq j_i \leq n) ji(0≤ji≤n)的事件, θ i 0 t \theta_{i0}^t θi0t表示量测i在第t个联合事件中源于杂波或者虚警。
设
θ
i
j
(
k
)
\theta_{ij}(k)
θij(k)表示第 i 个量测与目标 j互联的事件,则:
θ
i
j
(
k
)
=
⋃
i
=
1
ξ
θ
i
j
t
(
k
)
i
=
1
,
.
.
.
,
ξ
\theta_{ij}(k) =\bigcup_{i=1}^{\xi}\theta _{ij}^t(k) \quad i=1,...,\xi
θij(k)=i=1⋃ξθijt(k)i=1,...,ξ
这个事件称为互联事件,于是
θ
0
j
\theta_{0j}
θ0j表示没有任何量测源于目标
j
j
j 的事件。
所有表示互联事件的互联矩阵可通过对聚矩阵 E E E的拆分得到,拆分原则如下:
- 在聚矩阵的每一行,选出一个且仅选出一个 1 ,作为互联矩阵在该行的唯一非零元素,即每个量有唯一的元。
- 在可行互联矩阵中,除去第一列,每列最多只能有一个非零元素,即每个目标最多有一个量测以其为源。
这样,第
i
i
i个量测与第
j
j
j个目标互联的概率为:
β
i
j
(
k
)
=
P
{
θ
i
j
(
k
)
/
Z
k
}
=
∑
t
=
1
n
k
P
{
θ
t
(
k
)
/
Z
k
}
w
^
i
j
t
(
θ
t
(
k
)
)
\beta_{ij}(k) = P\{\theta_{ij}(k)/Z_k\} = \sum_{t=1}^{n_k}P\{\theta_t(k)/Z_k\}\hat w_{ij}^t(\theta_t(k))
βij(k)=P{θij(k)/Zk}=t=1∑nkP{θt(k)/Zk}w^ijt(θt(k))
其中:
w
i
j
t
(
θ
t
(
k
)
)
=
{
1
θ
i
j
t
⊂
θ
t
(
k
)
0
o
t
h
e
r
w_{ij}^t(\theta_t(k)) = \left\{\begin{matrix} 1 & \theta_{ij}^t \subset \theta_t(k) \\ 0 & other\\ \end{matrix}\right.
wijt(θt(k))={10θijt⊂θt(k)other
[外链图片转存失败,源站可能有防盗链机制,建议将图片保存下来直接上传(img-q4AFt3gY-1689328475006)(C:\Users\WIN\AppData\Roaming\Typora\typora-user-images\image-20230712095904175.png)]
式中, c c c为归一化常数,$\phi(\theta_t(k)) $表示在 θ t ( k ) \theta_t(k) θt(k)中假量测的数量, μ F ( ϕ ( θ t ( k ) ) ) \mu_F(\phi(\theta_t(k))) μF(ϕ(θt(k)))是假量测数的先验概率质量函数,可使用泊松分布的参数模型和均匀分布的分参数模型, V G V_G VG为关联区域的体积, τ i ϕ ( θ t ( k ) ) = { 1 j i > 0 0 j i = 0 \tau_i\phi(\theta_t(k)) = \left\{\begin{matrix} 1 & j_i >0 \\ 0 & j_i=0\\ \end{matrix}\right. τiϕ(θt(k))={10ji>0ji=0 是量测互联指示,表示量测在联合事件 ( θ t ( k ) ) (\theta_t(k)) (θt(k))中是与一个真实目标互联, P D j P_D^j PDj是目标 j 的检测概率, δ j ( θ t ( k ) ) = { 1 存在 i 使 j i = j 0 不存在 i 使 j i = j \delta_j(\theta_t(k)) = \left\{\begin{matrix} 1 & 存在i 使 j_i =j \\ 0 & 不存在i 使 j_i =j\\ \end{matrix}\right. δj(θt(k))={10存在i使ji=j不存在i使ji=j 是目标检测指示,表示任一量测在 θ t ( k ) \theta_t(k) θt(k)中是否与目标 j 互联,即目标 j 是否被检测到。
目标 j 的状态估计为:
X
^
j
(
k
∣
k
)
=
∑
i
=
0
ξ
β
i
j
(
k
)
X
^
i
j
(
k
∣
k
)
\hat X^j(k|k) = \sum_{i=0}^{\xi} \beta_{ij}(k)\hat X_i^j(k|k)
X^j(k∣k)=i=0∑ξβij(k)X^ij(k∣k)
其中
X
^
j
(
k
∣
k
)
\hat X^j(k|k)
X^j(k∣k) 表示在 k 时刻第 i个量测对目标 j 进行卡尔曼滤波所得的状态估计。
X
^
0
j
(
k
∣
k
)
\hat X_0^j(k|k)
X^0j(k∣k) 表示在 k 时刻没有量测源于目标的情况,这时用预测值
X
^
j
(
k
∣
k
−
1
)
\hat X^j(k|k-1)
X^j(k∣k−1)来代替。
目标
j
j
j 的状态估计
X
^
j
(
k
∣
k
)
\hat X^j(k|k)
X^j(k∣k)的协方差为:
P
j
(
k
∣
k
)
=
P
j
(
k
∣
k
−
1
)
−
(
1
−
β
0
j
(
k
)
)
K
j
(
k
)
S
j
(
k
)
K
j
(
k
)
T
+
∑
i
=
0
ξ
β
i
j
(
k
)
{
[
X
^
i
j
(
k
∣
k
)
X
^
i
j
(
k
∣
k
)
T
−
X
^
j
(
k
∣
k
)
X
^
j
(
k
∣
k
)
T
]
}
P^j(k|k)=P^j(k|k-1)-(1-\beta_{0j}(k))K^j(k)S^j(k)K^j(k)^T + \sum_{i=0}^{\xi}\beta_{ij}(k)\{[\hat X_i^j(k|k) \hat X_i^j(k|k)^T - \hat X^j(k|k) \hat X^j(k|k)^T]\}
Pj(k∣k)=Pj(k∣k−1)−(1−β0j(k))Kj(k)Sj(k)Kj(k)T+i=0∑ξβij(k){[X^ij(k∣k)X^ij(k∣k)T−X^j(k∣k)X^j(k∣k)T]}
从本质上来看,JPDA算法是PDA算法的一种扩展,两种算法的框架类似,区别在哪与计算关联概率的方式不一样。JPDA算法将落入目标跟踪门的所有测量与目标关联,而不是采用确定性关联。它采用所有测量的加权平均来更新航迹,每个测量的权值为该测量与该目标的后验概率,因此JPDA算法可以较好的处理密集杂波环境下多密集多目标的跟踪。但是JPDA算法的缺点是计算量随着目标数和杂波密度的增加呈现指数增长,使得计算负荷出现组合爆炸现象,而且容易发生航迹的偏移。
针对JPDA在计算上的这种不足,先后有学者提出了许多改进的JPDA算法,这些算法主要从关联概率的计算上进行一定的简化或者改进,以降低原始JPDA算法的计算负荷。
多假设跟踪算法MHT
多假设跟踪MHT算法是D.B,Reid根据多目标跟踪问题基于全邻最优滤波器和确认矩阵的概念提出来得。
多目标假设跟踪MHT是目前在密集杂波环境下跟踪多个机动目标最精确的方法。多假设跟踪算法采用批处理方法,利用多个观测周期产生的测量数据集合建立一组假设并利用似然率评估方法去掉那些被证明为不可能的假设。采用这种方法的好处是能够利用后来得到的数据对先前做出的决策进行修正。
参考:
- https://wenku.baidu.com/view/4856d9580c22590102029df7?fr=xiongzhanghao&bfetype=new&wkts=1689043289917

文章介绍了目标跟踪中的跟踪门概念,包括矩形跟踪门和椭球跟踪门,以及如何利用概率数据关联算法如最近邻法(NN)、概率数据关联算法(PDA)和联合概率数据关联算法(JPDA)进行数据关联和目标状态估计。这些算法在处理目标检测、杂波过滤和多目标跟踪问题中起到关键作用。
365

被折叠的 条评论
为什么被折叠?



