摘要
在汽车环境中,反射表面的存在是不可避免的。从目标车辆返回的电磁波可以在这些表面上反射,从而形成不存在的所谓重影目标。对于驾驶员辅助系统,重影目标可能会导致错误决策,因此,应检测并避免它们。本文提出了一个描述这些重影目标的模型,以及利用车辆的方向和运动状态将其与真实目标区分开来的过程
介绍
为了安全地操作驾驶员辅助系统,必须清楚地识别和表征目标参数,即目标车辆的方向和尺寸。真实目标在反射停放的汽车、高速公路上的金属路障,甚至更大的路标等表面时的反射可能会导致错误的决定。这种不需要的目标被称为重影目标,并且应该避免。
重影目标的识别,例如在穿墙成像的应用中,是众所周知的问题。通过精确了解反射表面的位置和方向,可以将重影目标与真实目标区分开来,如[1]所示。可以如[2]中那样应用发射波束成形来仅照射某个角度域,同时在整个角度域上进行接收。由此,照明区域的角度与目标所处的角度之间的不匹配暗示重影目标。
对于汽车来说,反射表面通常是未知的,因此,这些程序是不可行的。然而,随着高分辨率雷达传感器的可用性,存在关于检测到的目标的丰富信息,例如,可以精确地估计目标车辆的方向,如[3]所示。此外,可以利用测量的多普勒速度。下一代雷达传感器检测到的运动目标示例如图1所示。该雷达在76.45 GHz的中心频率附近工作,带宽为2 GHz,并采用128个频率斜坡的 chirp-sequence 调制。这样,速度分辨率为5.4 cm/s。从图中可以看出,1(a)多普勒分布可以用来表征目标。(b)中的雷达反射允许精确的方位估计()。
如稍后的第3节所示,使用不同散射中心的多普勒分布能够估计目标车辆的当前运动状态。该确定的运动状态应与车辆的当前方向一致。对于重影目标,运动状态和方向不匹配,如第2节所导出的。这种失配可以用作识别可能的重影目标的标准。
- (a) 距离-速度图中移动目标车辆的多普勒分布
- (b) 移动目标的检测直接位于车辆的轮廓上,从而实现精确的定位估计
图1:移动目标车辆的测量结果,显示了(a)中的多普勒分布和(b)中的检测结果。颜色条对这两个数字都有效。
如后面的第3节所示,利用不同散射中心的多普勒分布,可以估计目标车辆的当前运动状态。此已确定的运动状态应与车辆的当前方向相一致。对于幽灵目标,运动状态和方向与第2节中得出的结果不一致。这种不匹配可以作为识别可能的幽灵目标的标准
Problem Formulation: Ghost Target Modelling
电磁波在目标的不同点处反射,因此可以进行多径传播。 作为这种效果的一个积极方面,可以检测来自车辆底部的反射并用于获得可靠的模型拟合。 然而,停在路边的车辆或大型路标也可以反射波浪。 然后可以在完全不同的角度下检测真实目标,从而导致不必要的检测。
为了推导虚假目标的参数,假设真实目标位于位置 P,并且在传感器右侧距离 a 处存在完美电墙(稍后称为墙),如图所示 2. 假设采用镜像传感器 S ′ S^{'} S′来简化 (b) 中几何参数的推导。
图2:鬼影目标的几何模型和参数的范围、角度和速度的推导。
到虚假目标
P
′
P^{'}
P′的距离为:
R
′
=
R
2
+
4
a
2
−
4
a
R
s
i
n
(
θ
)
R^{'} = \sqrt{ R^2 + 4a^2-4aRsin(\theta)}
R′=R2+4a2−4aRsin(θ)
角度为:
θ
′
=
a
r
c
t
a
n
(
2
a
−
R
s
i
n
(
θ
)
R
c
o
s
(
θ
)
)
\theta^{'} = arctan( \frac{2a-Rsin(\theta)}{Rcos(\theta)})
θ′=arctan(Rcos(θ)2a−Rsin(θ))
并且指向反射表面的速度分量为:
v
r
′
=
v
r
c
o
s
(
θ
+
θ
′
)
v^{'}_r = v_r cos(\theta + \theta ^{'})
vr′=vrcos(θ+θ′)
v r v_r vr是 P P P的速度的径向分量。注意,角度是相对于纵坐标定义的。
可能有三种射线路径。
- 首先,从传感器S到目标,然后向后越过墙壁。
- 第二,从传感器到墙壁,再到目标,并在直接的路径上向后移动。
- 第三,从传感器到墙壁再到目标,再以同样的方式回来。
出现哪条射线路径对探测到的距离、角度和速度都有影响
假设第一种情况下,测量的距离为 R G T = 1 2 ( R + R ′ ) R_{GT}= \frac{1}{2}(R + R^{'}) RGT=21(R+R′),角度为 θ G T = θ ′ θ_{GT}=θ^{'} θGT=θ′。如[4]中所述,多普勒效应对入射波和反射波都有影响。一旦当透射的波击中目标,然后再次当它向后散射。对于真正的目标,这将导致一个多普勒频移
f D , R T = − f c c 2 v ⃗ . e ⃗ S P f_{D,RT} = - \frac{f_c}{c}2\vec v. \vec e_{SP} fD,RT=−cfc2v.eSP
其中,
v
⃗
\vec v
v为移动目标的速度矢量,
c
c
c为光速,
f
c
f_c
fc为透射中心频率,
e
S
′
P
e_{S^{'}P}
eS′P为从传感器到目标
P
P
P的单位矢量。对于虚假目标,为多普勒频移为:

结果是径向和壁方向的速度组合,其中 e S ′ P e_{S^{'}P} eS′P是从镜像传感器位置到目标的单位矢量。这种由运动物体的散射引起的频移也被用于测量激光多普勒测速仪中流体的速度:
在第二种情况下,在真实目标后面检测到鬼目标,因此只有鬼目标的角度发生变化,而其他参数保持不变。在第三种情况下,距离增加,因为波在壁上反射两次,因此,只有角度相等。为了简单性和更好的图形表示,下面只显示了第一种情况
3. Motion Estimation
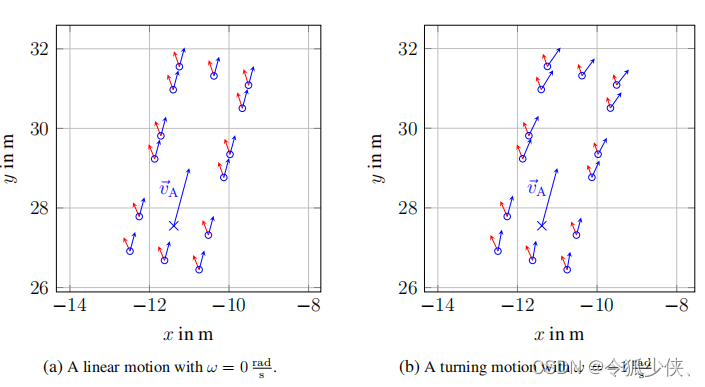
一个高分辨率的雷达传感器能够探测到目标车辆上的几个不同的散射中心,如图1所示。在Automotive Radar Target List Simulation based on Reflection Center Representation of Objects中,可以用一组不同的散射中心来建模车辆。假设是一个线性运动,每个点,因此在目标上的每个散射中心都有相同的速度。如图3 (a)所示,其中每个散射中心具有相同的速度矢量。根据目标可见的角度,径向速度也会有所不同。
如果车辆正在转弯,即存在偏航率ω,则对于车辆上的每个点Q,速度将被改变为:

除了旋转中心是后轴a的中点。从旋转中心到点 Q Q Q的矢量被写成 d ⃗ A Q \vec d_{AQ} dAQ,旋转中心的运动矢量由 v ⃗ A \vec v_A vA给出。点Q中x方向的速度用 v ⃗ Q x \vec v_Q^x vQx表示。对于偏航率 w = − 1 r a d s w=−1 \frac{rad}{s} w=−1srad,得到的速度如图3 (b)所示:
- (a) A linear motion with ω = 0 rad /s
- (b) A turning motion with ω = −1 rad/s
图3:由中间较大的运动矢量表示的以恒定速度移动的车辆示例。对于每个假设的散射中心,速度矢量显示为相对于偏航率ω和旋转中心,即后轴。对于位于原点处的传感器,可以观察到速度的径向部分()
车辆的完整运动状态可以用任意点Q的运动矢量如[Tracking of Extended Objects with High-Resolution Doppler Radar]所述进行描述。

由于使用单一雷达传感器在运动矢量中存在三个自由度,如[6]所示,不足以估计完整的运动状态。因此,两个位于不同位置的雷达传感器可以在一次测量中进行估计。这是用方程式系统来完成的:

与 v r , I , j , j ∈ { 1 , … , N } v_{r,I,j},j∈\{1,…,N\} vr,I,j,j∈{1,…,N}是第一个传感器的测量多普勒速度, v r , I I , j , j ∈ { 1 , … , N } v_{r,II,j},j∈\{1,…,N\} vr,II,j,j∈{1,…,N}第二个传感器的多普勒速度。与第一传感器的第一目标的角度相对于纵坐标为 θ I , 1 \theta_{I,1} θI,1。所使用的坐标系的原点在第一个传感器位置,因此表达式 χ I I , k = − y I I s i n ( θ I I , k ) + x I I c o s ( θ I I , k ) \chi_{II,k}= -y_{II}sin(\theta_{II,k}) + x_{II}cos(\theta_{II,k}) χII,k=−yIIsin(θII,k)+xIIcos(θII,k)考虑到第二个传感器的偏移量 ( x I I , y I I ) (x_{II},y_{II}) (xII,yII)。
估计的运动矢量
m
⃗
I
\vec m_I
mI表示坐标系原点表示点处的运动状态。为了能够在第4节中将其与估计方向进行比较,需要将其转换为目标车辆的旋转中心。这可以是用变换矩阵完成:

向量
(
v
A
x
,
v
A
y
)
T
(v_A^x,v_A^y)^T
(vAx,vAy)T代表目标当前的移动,和向量角度被称为运动矢量的角度
4. Ghost Target Identification: Simulation Results
移动物体的散射频移与表面(5)上的反射相结合,导致不适合车辆方向的运动矢量(10)。这种错位可以用来区分真实目标和幽灵目标。目标的方向可以通过跟踪目标来估计。如果使用高分辨率雷达传感器,反射可以允许如[3]中所示的方向估计。这意味着一次测量就足以决定一个被检测到的目标是真实目标还是幽灵目标。
为了验证鬼影目标的识别,我们用表中列出的参数模拟了一个chirp-sequence雷达。 1.由于假设为均匀线性阵列,因此采用傅里叶变换进行角度估计。将目标车辆放置在(−10m,29m)处,角度为75◦,假设散射中心如图3所示。该墙位于x=5 m处,平行于钻孔。
对于直线运动,仿真结果如图4所示。在(a)的x-y图中,左侧目标反射在壁()处,右侧可见。在(b)的范围-速度图中,幽灵目标的检测距离更近,但作为一个有效的目标出现。在此领域中,应用[7]中描述的有序统计常数误报率(OS-CFAR)算法来区分目标和噪声。然后应用简单的峰值搜索来提取散射中心,并利用[8]中引入的基于密度的空间聚类应用与噪声(DBSCAN)算法来去除可能的噪声和不拟合的离群点

然后,应用简单的峰值搜索来提取散射中心,并为了分割,使用[8]中引入的基于密度的带噪声应用空间聚类(DBSCAN)算法来去除可能的噪声和不适合当前模型的异常点。这是针对左()和右()传感器的数据完成的,并在(c)中针对真实目标显示。将[3]中的盒模型算法应用于两个传感器的聚类点,以估计方向(),然后将其与运动矢量()进行比较
在真实目标的情况下,74的方位估计结果◦ 产生与运动矢量76几乎相同的角度◦ , 但对于(d)中的重影目标,两个角度,98◦ 用于方向和59◦ 对于运动矢量而言差异很大。这种差异用于分类。
在图5中,车辆以偏航率ω=−0.5 rad/s转弯。对于©中的真实目标,70◦的方向与73◦的运动矢量角一致,而对于(d)中的鬼目标,93◦的差异分别为25◦。

图5:在反射壁左侧放置一个横航率为ω=−0.5rad/s的
chirp-sequence雷达的模拟。场景的x-y图用(a)表示,而范围-速度图用(b).表示经过峰值检测后,估计了©中的真实目标和(d).中的鬼目标的方向和运动矢量
5. Conclusion
由于表面上的反射,可能会发生幽灵目标。提出了一种描述幽灵目标参数的模型。从提取的散射中心中,使用盒子模型估计了方向,并与运动矢量的角度进行了比较。如果这些角度几乎相等,这表明一个真实的目标,而对于一个鬼目标,存在很大的偏差。即使对于存在偏航率的转弯车辆,也可以使用所提出的方法。然而,在这种情况下,需要两个雷达传感器来正确地估计运动矢量。

文章介绍了在汽车环境中,如何通过高分辨率雷达传感器识别并区分真实目标和由反射表面产生的幽灵目标,利用多普勒分布和运动状态的匹配度来识别潜在的错误目标。




被折叠的 条评论
为什么被折叠?



