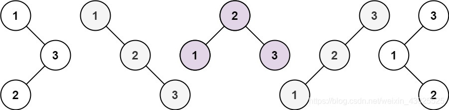
给你一个整数 n ,求恰由 n 个节点组成且节点值从 1 到 n 互不相同的 二叉搜索树 有多少种?返回满足题意的二叉搜索树的种数。
示例 1:

输入:n = 3
输出:5
示例 2:
输入:n = 1
输出:1
提示:
1 <= n <= 19
题解:
class Solution {
// 动态规划 从小到大
public:
int numTrees(int n) {
if(!n) return 0; // 判断条件
vector<int> G(n + 1, 0);
G[0] = 1; // 在动态优化时,针对两个边界都只有一种方式
G[1] = 1; // 一个节点只有一种组合
for(int i = 2; i <= n; ++i){ // 两个节点网上 i代表每次的总节点数
for(int j = 1; j <= i; ++j){ // j代表每次根节点的位置
G[i] += G[j - 1] * G[i - j]; // 种树等于根节点左子树种树*右子树种树
}
}
return G[n];
}
};
来源:力扣(LeetCode)
链接:link
该博客介绍了一个计算特定大小的二叉搜索树(BST)不同构造方式的算法。给定节点数量n,程序通过动态规划计算出n个节点的BST共有多少种不同的形态。示例展示了当n为3和1时的输出结果,并提供了相应的C++代码实现。

被折叠的 条评论
为什么被折叠?



