《算法设计与分析基础 第三版》(Java代码)第一章 绪论(编辑中)

求两个数最大公约数

在这里插入图片描述

    /***
     * 欧几里得算法:
     * gcd(m,n) = gcd(n,m mod n) (m mod n 表示 m 除以 n 的余数)
     * 如果m mod n == 0 则 n为结果
     * @param m
     * @param n
     * @return
     */
    public static int alg1(int m, int n){
        if (n == 0){
            return m;
        }else {
            return alg1(n, m % n);
        }
    }

    public static void main(String[] args) {
        System.out.println(alg1(60, 24));//12
    }

习题

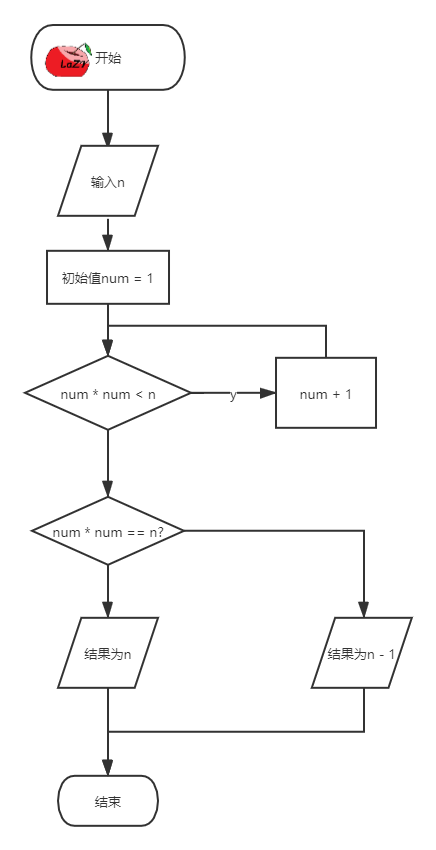
求根号n的向下取整的值,n为非负整数

在这里插入图片描述

/***
     * 思路1:从1开始尝试,和自身相乘,如果结果不大于n,自增,如果结果大于n,结果为n-1
     * 思路2:从n/2向上取整开始尝试
     * @param n
     */
    public static int alg1(int n){
        int num = 1;
        while(num * num < n){
            num ++;
        }
        return num * num == n ? num : num - 1;
    }

    public static void main(String[] args) {
        System.out.println(alg1(10));//3
    }

已经排序的两个列表中,找出相同元素

在这里插入图片描述

    public static String alg(int[] a, int[] b, int m, int n){
        if (a.length != m || b.length != n){
            return null;
        }
        String s = "";

        int index_a = 0;
        int index_b = 0;

        while (index_a < m && index_b < n){
            if (a[index_a] == b[index_b]){
                s += (a[index_a] + " ");
                index_a ++;
                index_b ++;
            }else if (a[index_a] > b[index_b]){
                index_b ++;
            }else {
                index_a ++;
            }
        }

        return s;
    }

    public static void main(String[] args) {
        System.out.println(alg(new int[]{2, 5, 5, 5}, new int[]{2, 2, 3, 5, 5, 7}, 4, 6));
    }
利用Java编写的几种经典问题算法: 1.设a[0:n-1]是一个有n个元素的数组,k(0<=k<=n-1)是一个非负整数。 试设计一个算法将子数组a[0:k]a[k+1,n-1]换位。要求算法在最坏情况下耗时O(n),且只用到O(1)的辅助空间。 2.在一个圆形操场的四周摆放着n堆石子。现要将石子有次序地合并成一堆。规定每次只能选相邻的2堆石子合并成新的一堆,并将新的一堆石子数记为该次合并的得分。试设计一个算法,计算出将n堆石子合并成一堆的最小得分和最大得分,并分析算法的计算复杂性。 3.设磁盘上有n个文件f1,f2,…,fn,每个文件占用磁盘上的1个磁道。这n个文件的检索概率分别是p1,p2,…,pn,且 =1。磁头从当前磁道移到被检信息磁道所需的时间可用这2个磁道之间的径向距离来度量。如果文件fi存放在第i道上,1≦i≦n,则检索这n个文件的期望时间是对于所有的i<j,time+=pi*pj*d(i,j) 。其中d(i,j)是第i道第j道之间的径向距离|i-j|。磁盘文件的最优存储问题要求确定这n个文件在磁盘上的存储位置,使期望检索时间达到最小。试设计一个解决此问题的算法,并分析算法的正确性计算复杂度。 4.最小重量机器设计问题。设某一机器由n个部件组成,每一种部件可以从m个不同的供应商处购得。设wij是从供应商j处购得的部件i的重量,cij是相应的价格。试设计一个算法,给出总价格不超过c的最小重量机器设计
评论
添加红包

请填写红包祝福语或标题

红包个数最小为10个

红包金额最低5元

当前余额3.43前往充值 >
需支付:10.00
成就一亿技术人!
领取后你会自动成为博主和红包主的粉丝 规则
hope_wisdom
发出的红包
实付
使用余额支付
点击重新获取
扫码支付
钱包余额 0

抵扣说明:

1.余额是钱包充值的虚拟货币,按照1:1的比例进行支付金额的抵扣。
2.余额无法直接购买下载,可以购买VIP、付费专栏及课程。

余额充值