做了一道爬楼梯的题,很简单的动态规划,结果发现还有公式,记录一下。
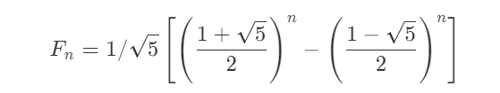
求第n个斐波那契数。

斐波那契公式
最新推荐文章于 2024-11-25 21:10:34 发布
博主做爬楼梯题,该题运用简单的动态规划方法,还发现有对应公式,同时提到求第n个斐波那契数,记录此过程。
博主做爬楼梯题,该题运用简单的动态规划方法,还发现有对应公式,同时提到求第n个斐波那契数,记录此过程。
做了一道爬楼梯的题,很简单的动态规划,结果发现还有公式,记录一下。
求第n个斐波那契数。

5146
1645

被折叠的 条评论
为什么被折叠?