1. Motivation
本文基于Transfer-Learning Based 以及 Faster R-CNN进行改进。
本文针对分类和回归任务中存在的矛盾点进行分析:
- In this paper, we look closely into the conventional Faster R-CNN and analyze its contradictions from two orthogonal perspectives, namely multi-stage (RPN vs. RCNN) and multi-task (classification vs. localization).
2. Contribution
本文关于网络结构的2个创新点, Gradient Decoupled Layer用于多阶段的解耦,Prototypical Calibration Block用于多任务的解耦。
其中GDL是针对backbone,来解耦之前层和后面层;而PCB则是offline的prototype的分类层,用于boost原有的分类层。
- We look closely into the conventional Faster R-CNN and propose a simple yet effective architecture for few-shot detection, named Decoupled Faster R-CNN, which can be learned end-to-end via straightforward fine-tuning.
- To deal with the data-scarce scenario, we further present two novel modules, i.e. GDL and PCB, to perform de- coupling among multiple components of Faster R-CNN and boost classification performance respectively.
- DeFRCN is remarkably superior to SOTAs on various benchmarks, revealing the effectiveness of our approach.
3. Method
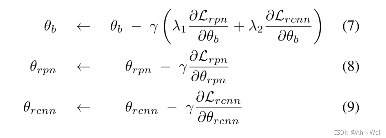
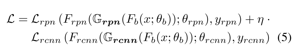
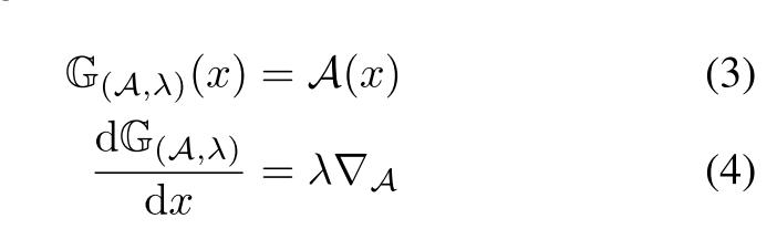
Backbone、RPN、Box Classifier以及Regressor在fine-tune阶段是trainable,而RCNN是frozen的。
Problem of multi-task learning
作者认为对于多任务学习来说,子网络的优化目标存在不一致性。
RPN是where to look, RCNN是what to look
classification head需要translation invariant features,而localization head 需要translation covariant features。
因此,可能导致一个suboptimal solution
Problem of shared backbone
由于Backbone的梯度回传和RCNN以及 RPN有关,但是这2者有一定的矛盾性,因此,作者认为这可能会导致FSOD性能的下降。并且在FSOD中,第二阶段的RPN会受到更多的前景-背景的混淆问题foreground-background confusion。因此可能造成对于base classes过拟合梯度的传播,到backbone以及RCNN
- which means a pro- posal that belongs to background in the base training phase is likely to be foreground in the novel fine-tuning phase
3.1 Gradient Decoupled Layer
-
Perform Decoupling with GDL
-
Optimization with GDL



本文分析了Faster R-CNN在多任务学习和共享backbone中的问题,并提出解耦梯度层(GDL)和原型校准块(PCB),以解决在少样本对象检测中的性能挑战。实验表明,DeFRCN在多个基准测试中优于现有最佳方法。
最低0.47元/天 解锁文章
1403

被折叠的 条评论
为什么被折叠?



