Content
一、图论基础
二、树
三、平面图
四、匹配理论
五、着色定理
六、欧拉图和哈密顿图
一、图论基础
1、图的定义:
G={V(G), E(G), ψ(G)},其中,
V(G):顶集合,非空
E(G):边集合
ψG:从集合E(G)到V(G)×V(G)的一个映射,称为G的关联函数。若ψG(e)=(u, v),则简写成e=uv,称u是有向边e的尾,v是有向边e的头
若顶集或边集有一个为无穷集合,则称G为无限图,否则为有限图。
根据边有无方向,分为有向图和无向图。无说明时,认为是无向图即可。
2、相关概念(一):
(1)边的端点:e=uv时,称顶u和v是边e的端点
(2)边与顶相关联:若边e的端点是u与v,则称e与u, v相关联
(3)邻顶:同一条边的两个端点叫做邻顶
(4)邻边:与同一个顶相关联的两条边叫做邻边
(5)环:只与一个顶相关联的边叫做环
(6)重边:ψG(e1)=ψG(e2)=uv,则称e1与e2是重边
(7)单图:无环无重边的图
(8)空图:无边图
(9)完全图:任二顶皆相邻的单图,记之为Kν
(10)二分图:V(G)=X∪Y,X∩Y=Ø,且X中任二顶不相邻,Y中任二顶不相邻,则称G为二分图
(11)完全二分图:若X中每个顶点皆与Y中一切顶相邻,记成Km,n,其中m=|X|,n=|Y|
(12)星:K1,n叫做星
(13)k次正则图:d(v) 恒等于k的图
(14)图的最小次 / 最大次
(15)图同构
3、相关概念(二):
(1)边图:设G是一个图,L(G)是另一个图,且V(L(G))=E(G),即L(G)中两顶点相邻当且仅当它们是G中的两条相邻的边。
性质:
- 若uv∈E(G),则在L(G)中uv对应的顶的次数是d(u)+d(v)-2
- G≌L(G)当且仅当G是一个多边形
(2)

(3)

(4)图的直径和半径:
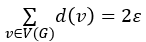
单图G中最长的圈之长称为该图的周长;最短的圈之长称为该图的围长;两顶点间距离中的最大值称为直径,记成d(G),即


(5)图的补图:
单图G的补图记成Gc, Gc是这样一个图,V(Gc)=V(G),当且仅当在G中两顶不相邻时,该二顶在Gc中相邻。它有一个定理:单图G与其补图不能都不连通。
4、基础定理:
(1)欧拉定理:

(2)欧拉定理的推论:
图中奇次顶总数是偶数
(3二分图判定:
图G是二分图当且仅当G中无奇圈
5、Dijkstra算法:
用于最短路径,如图。

注:图论证明常用技巧:最长轨
二、树
1、定义:
无圈连通图称为树。每个连通片皆为树的不连通图称为森林;树上次数为1的顶称为叶;如果一个树T是图G的生成子图,则称T是G的生成树。G-E(T)称为树余
2、重要等价命题:
命题A G是树
命题B G中任二顶间恰有一条轨
命题C G中无圈,ε=ν-1
命题D G是连通图,ε=ν-1
命题E G是连通图,∀e∈E(G), G-e不连通
命题F G无圈,G+e恰含一个圈,其中e是任一不在E(G)中的以V(G)中的顶为端点的边
3、重要推论:
G是连通图的充分必要条件是G有生成树
4、生成树的个数(注意:以顶点序来区分生成树,而不考虑同构情况)
用τ(G)表示生成树个数,则:
τ(G) = nn-2
一个与之相关的定理:
e是连通图G中的一条边,则τ(G)=τ(G-e)+τ(G•e),其中G•e是把边e的长度收缩成零,e的两个端点重合成一个顶形成的图
5、求生成树——搜索算法: BFS / DFS
其中比较重要的一类生成树是最小生成树(也有人叫最优树),求解算法有Prim / Kruskal算法
6、有序树:
k∈N,若T是外向树,且任一顶v∈V(T), d+(v)≤k,则称T为k元树。 e∈E(T) ,T是外向树,e=uv,则称u是v之父,v是u之子(图示中父比子高)。同父之子称兄弟,兄弟有序时,称为有序树。有序树之序列称为有序林。有序树中较特殊,也是最常使用的是有序二元树,对有序二元树进行编码:
(i) 根不标码
(ii) 兄弟有序,左为兄,标0,右为弟,标1(编码即定位,0表示定位在左,1表示定位在右)
(iii) 从根始到叶的轨上依次抄出各顶之码,写在叶下方,称为该叶的前缀
在有序二元树中,存在最优二元树,它是所有同性质树中带权路径和最小的树(Huffman树)
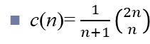
7、n顶有序编码二元树的数目:
一个括号列是好括号列当且仅当它由一半右括号一半左括号组成,且从左向右看这个括号列时,看到的右括号不超过左括号个数
引入Catalan数:
由n个左括号组成的好括号列的个数为

n顶有序林与n顶有序编码二元树的数目皆c(n)
把不是叶的顶皆两个儿子的有序二元树称为典型有序二元树
三、平面图
1、平面图和平面嵌入的概念:
把一个图G的图示画在平面上,使得任何两边除端点外无公共点,则称此种图G为平面图,上述图示为平面图G的一个平面嵌入
2、图可平面嵌入的充要条件:
图G可平面嵌入的充分必要条件是G可球面嵌入
3、推论:
既然可球面嵌入等价于可平面嵌入,可把多面体套在一个球面上,各边贴近球面,即为一个球面嵌入,则说明所有多面体都可以平面嵌入。
4、平面图的欧拉定理:
首先有一些定义需要先说明:
当平面图G平面嵌入之后,把平面划分成的闭区域称为G的面,其数目用ϕ(G)表示,其中有一个无界面,称之为外面(注意:也是属于闭区域)


如果G是平面图,F(G)={f1, f2,…, fϕ}是它的面集合,fi边界上的边之条数记成d(fi), i=l, 2,…, ϕ。d(fi)称为面fi的次数
d(fi)是沿面fi的边界行一周时,历经的边的条数
桥对它所在的面fi的次数之贡献是2

5、平面图的一些推论:
(1)若G是ν≥3的连通平面图,则ε≤3ν-6
(2)如果平面图G有ω个连通片G1, G2,…, Gω,ε≤3ν-6ω
(3)平面图G的最小顶次数δ≤5
6、极大平面图:
定义:若G是ν≥3的平面图,当u, v∈V(G),而uv∉E(G)时,G+uv不再是平面图,则称G是极大平面图
判定极大平面图的充要条件:ν≥3的平面图G是极大平面图的充分必要条件是G的平面嵌入的每个面皆三角形
ν≥3的平面图是极大平面图的充分必要条件是ε=3ν-6
G是ν≥4的极大平面图,则δ≥3
7、判定平面图的充要条件:
前提:K5和K~3, 3~不是平面图
定义:同胚图:把图G的一些边的内点处添加一些新顶得到的图,K5与K~3, 3~的同胚图也是非平面图
充要条件:G是平面图当且仅当G中不含与K5和K~3, 3~同胚的子图
也可以这么说:G为平面图的充要条件是G中无可收缩成K5或K~3, 3~的子图
四、匹配理论
1、匹配与许配:
M是图G的边子集,且M中任二边在G中不相邻,则称M是G中的一个匹配;M中的每条边的两个端点称为在M中相配;M中每边的端点称为被M许配;G中每个顶点皆被M许配时,称M为G的一个完备匹配;G中边数最多的匹配称为G的最大匹配。
错排问题总数:b(n)=(n-1)[b(n-1)+b(n-2)]
可增广轨:设M是图G中的一个匹配,G中的一条轨P(u, v)上,u与v未被M许配,但P(u, v)上的边交替地不在M中出现与在M中出现,则称P(u, v)为M的可增广轨
覆盖集:设B⊂V(G),G的每条边皆与B中的顶相关联,则称B是G的一个覆盖集;若B是G的一个覆盖集,但∀v∈B,B-{v}不再是G的覆盖集,则称B是G的极小覆盖;若B是G的顶数最小的覆盖集,则称B为G的最小覆盖,最小覆盖中顶的数目称为G的覆盖数,记成β(G)
2、匹配定理:
(1)(Berge)M是图G中的一个最大匹配当且仅当G中无M的可增广轨
(2)(Hall)设G是二分图,顶集的二分图划分为X与Y,存在把X中顶皆许配的匹配的充要条件是∀S⊆X,|N(S)|≥|S|,其中N(S)是S中每个顶的邻顶组成的所谓S的邻集(推论:易得k(k>0)次正则2分图有完备匹配)
(3)(Konig)若G是二分图,则其最大匹配的边数为β(G)
(4)(Tutte)图G有完备匹配当且仅当∀S⊂V(G),o(G-S)≤|S|,其中o(G-S)是G-S中奇数个顶的连通片的个数
==> 无桥三次正则图有完备匹配
3、二分图匹配算法:
(1)求最大匹配——匈牙利算法:
核心:不断在图中寻找可增广轨
(2)求最佳匹配——KM算法:
引入定义“正常顶标”:
对Kn, n 的每顶u 给一个顶标l(v) ,∀x∈X, y∈Y,s.t. l(x) + l(y)≥w(xy)
定理:设 K~n, n~ =G是具有正常顶标l 的加权图,取G的边子集El={xy | xy∈E(G), l(x)+l(y)=w(xy)}。令Gl是以El 为边集的G的生成子图,如果Gl有完备匹配M,则M即为G的最佳匹配
4、图的因子分解:
对于给定的图G,把它分解成若干两两无公共边的生成子图G1, G2,…, Gn,且预先要求Gi具有某种性质,即V(Gi)=V(G),它们的并集=E(G),E(Gi)⋂E(Gj)=∅,并且要求Gi有性质Pi。称Gi为G的因子,从G求出Gi的过程称为G的因子分解。1个因子是m次正则图时,则称此因子是图G的m因子;若G的因子全是m次正则图时,则称G是可以m因子分解的
定理:
K2n是可以1因子分解的
K2n+1存在每个因子皆生成圈的2因子分解,共计n个生成圈
五、着色定理
1、图的边着色
(1)定义:
把单图G的边集划分成m个非空子集,即E(G)=子集之并 , Ei∩Ej=∅, i≠j; Ei≠∅, i, j=1, 2,…, m,把Ei中的边用第i种颜色上色,则称对G的边进行了一个m边着色,记成C=(E1, E2,…, Em)。若每个Ei(i=1, 2,…, m)皆G的一个匹配,则称C是G的m边正常着色;当G可以m边正常着色而不能m-1边正常着色时,称m为G的边色数,记之为χ′(G)=m

(2)引理:
(1)设G是连通图,不是奇圈,则存在一种二边着色,使所用的两种颜色在每个次数不小于2的顶所关联的边中出现。
(2)设C=(E1, E2,…, Ek)是G的一个最佳k边着色,如果有一个顶v0,又存在两种颜色i与j,使得i色在v0顶关联的边中不出现,而j色在v0关联的边中至少出现两次,则由Ei⋃Ej导出的子图中含v0的连通片是一个奇圈
(3)定理:
(1)二分图的边色数等于图顶的最大次数
(2)若G是单图,则χ′(G)∈{Δ, Δ+1}
满足χ′(G)=Δ的图为第一类图,否则为第二类
2、图的顶着色:
如果使用n种颜色把图G的每顶皆分配一种颜色,且使得邻顶异色,则称此为对G的顶的正常n着色。图G的顶的正常着色中所需颜色数的最小值称为G的顶色数,简称色数,记之为χ(G),色数为k的图称为k色图
- G是有边二分图的充要条件是χ(G)=2
- G是无边图当且仅当χ(G)=1
- G是完全图当且仅当χ(G)=|V(G)|
- χ(G)≤Δ(G)+1
设G是平面图,G′是G的平面嵌入,造一个图G*,使得G′的面集合F(G′)是G* 的顶集,当且仅当fi, fi∈F(G′ ) 有公共边时,fi与fj相应的G中的二顶相邻。称G 为G的对偶图。χ(G*)称为图G的面色数
4CC问题:任何平面图的面色数不大于4。由于G*也是平面图,所以4CC也可以转化成:χ(平面图)≤4
3、k顶规范着色:

如果G是可以k顶正常着色的,则G存在k顶规范着色。
4、独立集:
设I⊆V(G),∀u, v∈I,u与v不相邻,则称I是图G的一个独立集;如果I是独立集,而∀u∈V(G)-I,I⋃{u}不是G的独立集,则称I是G的一个极大独立集;G中顶数最多的独立集称为G的最大独立集,G的最大独立集顶的个数叫做G的独立数,记之为α(G)。在图的正常顶着色中,同色顶组成G的一个独立集
独立集与覆盖集的关系:
I为G的独立集⇔V(G)-I是G的覆盖集
I是G的极大独立集⇔V(G)-I是G的极小覆盖集
α(G)+β(G)=|V(G)|
5、支配集:
V1⊆V(G),∀v∈V(G),则v∈V1,不然v与V1内一顶相邻,则称V1为图G的一个支配集。如果V1是图G的一个支配集,但V1的任何真子集不再是G的支配集,则称V1为G的极小支配集。顶数最少的支配集叫做最小支配集,其顶数记成γ(G), γ(G)称为图G的支配数
任何图G的极大独立集必为G的极小支配集
6、Ramsey数:
(1)定义:
对于2维Ramsey数r(k, l),上述定义可以转述成下述等价的形式:任给自然数k, l∈N,r(k, l)是满足下列条件的最小的自然数:在r(k, l)个顶的任意图G中,含有k个顶的完全子图或者l个顶的独立集
(2)定理:
k与l是不小于2的自然数,则r(k, l)≤r(k, l-1)+r(k-1, l),若r(k, l-1)与r(k-1, l)皆为偶数,则上式中的等号不成立
六、欧拉图和哈密顿图
1、欧拉图
(1)定义:
欧拉行迹:图G中包含一切边的行迹L
欧拉回路:L是闭行迹,所以欧拉行迹不一定是欧拉回路,但欧拉回路必定是欧拉行迹
欧拉图:存在欧拉回路的图,说白了,就是“一笔画”
(2)判断欧拉图的充要定理:
对于连通图:
(1)G是欧拉图充要条件是任意顶次数为偶数
(2)G是欧拉图充要条件是G可表示成无公共边的圈之并
(3)判定欧拉行迹的充要定理:
连通图中有欧拉行迹当且仅当图中至多两个奇次顶
(4)求欧拉回路的FE算法:
(1)任取v0∈V(G),令W0=v0
(2)设行迹Wi=v0v1v2…vi已选定,则从E(G)-E(W)中选一条边ei+1,使得ei+1与vi相关联,且非必要时,ei+1不要选G-E(W)的桥
(3)反复执行(2),直至每边e∈E(G)皆入选为止
这个算法核心说白了就是:非必要时,不要通过未用过的边的导出子图的桥
(5)定理:
若G是欧拉图,FE算法终止时得到的W是欧拉回路
(6)中国邮递员问题:
这个问题的实际模型是:一位邮递员从邮局选好邮件去投递,然后返回邮局,他必须经过由他负责投递的每条街道至少一次,为这位邮递员设计一条投递线路,使其耗时最少
中国邮路问题的图论模型是:任给定一个图G,对EG加权,即对每个e∈EG,任意指定一个非负实数we,求G的一个含有一切边的回路W,使得W的总权Σe∈W we=min
(7)邮递员问题解法:
(1) 图中奇次顶集为V0={v1,v2,v3,v4}

(2) 在V0中,每对顶的距离为:d(v1, v2)=4, d(v1, v3)=5, d(v1, v4)=2, d(v2, v3)=3, d(v2, v4)=5, d(v3, v4)=3
(3) 构作完全加权图K4,V(K4)={v1, v2, v3, v4},边权w(vivj)=d(vi, vj)

(4) 求(3)中K4的总权最小的完备匹配M={v1v4, v2v3}
(5) 在G中求最短轨P(v1, v4)=v1u1v4,P(v2, v3)= v2u4v3
(6) 在G中沿P(v1, v4)与P(v2, v3)把边变成同权“倍边”

(7) 在Euler图上用FE算法求得一条Euler回路
2、哈密顿图
(1)定义:
哈密顿圈:含图的一切顶的圈
哈密顿图:含哈密顿圈的图就叫哈密顿图
哈密顿轨:含图的一切顶的轨
判断一个图是否为哈密顿图在计算机科学中是个难题。
定理:G是Hamilton图的必要条件是任取S⊂V(G),S≠∅,则ω(G-S)≤|S|,其中ω(.)是连通片个数
定理:**(Ore)**设|V(G)|≥3,G的任一对顶u, v皆有d(u)+d(v)≥|V(G)|-1,则G中有Hamilton轨;若d(u)+d(v)≥|V(G)|,则G是Hamilton图
1217

被折叠的 条评论
为什么被折叠?



