排序算法
选择排序
时间复杂度:O(n^2)
- 将数组分成有序区和无序区。一开始整个数组是无序区。
- 每次从无序区中找到最小元素的下标,然后与无序区的第一个元素进行交换。
private static void selectionSort(int[] array){
for (int i = 0; i < array.length; i++) {
int min_idx = i;
for (int j = i + 1; j < array.length; j++) {
if (array[j] < array[min_idx]) {
min_idx = j;
}
}
int temp = array[i];
array[i] = array[min_idx];
array[min_idx] = temp;
}
}
冒泡排序
时间复杂度:O(n^2)
- 每次从第 0 个元素开始,依次比较相邻的两个元素。如果后一个比前一个大,则进行交换。
- 之后的内循环比较次数,内循环的次数就会减一个,因为上一轮已经把最大的元素移动到了末尾。
- 优化:如果能够判断某一轮的内循环没有进行交换元素,则说明数组已经有序,则直接退出循环
private static void bubbling(int[] array){
for (int i = 0; i < array.length; i++) {
boolean flag = false;
for (int j = 0; j < array.length - 1 - i; j++) {
if(array[j] > array[j + 1]){
flag = true;
int temp = array[j];
array[j] = array[j + 1];
array[j + 1] = temp;
}
}
if (!flag) {
break;
}
}
}
插入排序
时间复杂度:O(n^2)
- 将数组分成有序区和无序区。一开始数组的第一个元素是有序区,后面都是无序区。
- 遍历无序区的元素,将插入插入到有序区对应的位置上。
private static void insertSort(int[] array){
for (int i = 1; i < array.length; i++) {
if(array[i] < array[i - 1]){
int temp = array[i];
int idx = i - 1;
while(idx >= 0 && array[idx] > temp){
array[idx + 1] = array[idx];
idx--;
}
array[++idx] = temp;
}
}
}
二分查找
在一个有序数组中,找某个数是否存在
在一个有序数组中,找>=某个数最左侧的位置
局部最小值问题
亦或(^)
性质:
- 相当于无进位相加,
1 + 0 = 1,1 + 1 = 0,0 + 0 = 0 0 ^ n = n,n ^ n = 0- 满足交换律、结合律,
a ^ b = b ^ a,(a ^ b) ^ c = a ^ (b ^ c)
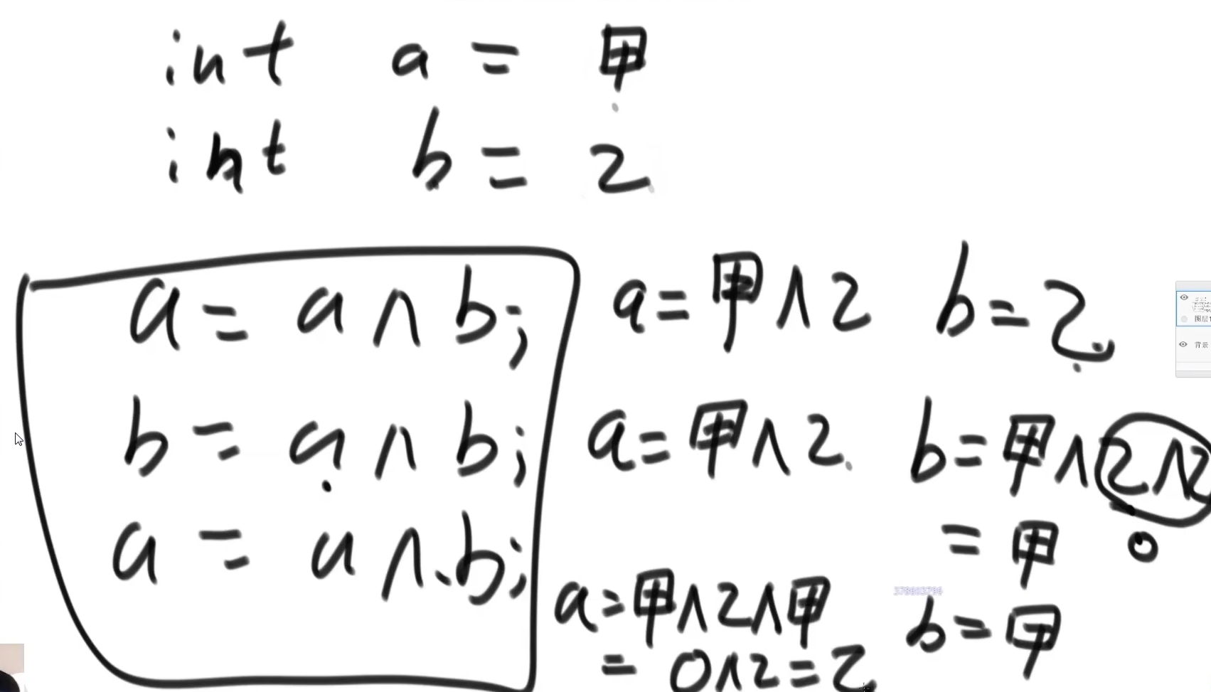
应用:
不使用额外变量,交换两个变量的值

技巧:
只获得eor二进制最右边的1,其他位置设置为0
int rightOne = eor & (~eor + 1);

被折叠的 条评论
为什么被折叠?



