前言
二叉树的遍历是解决二叉树相关问题难以回避的问题,很多问题都是在遍历的基础上来解决的。根据问题的不同,我们可以采用不同的遍历方式。
按照对根节点操作的顺序可以分成:
- 先序遍历
- 中序遍历
- 后序遍历
- 层次遍历
按照实现遍历的方式可以分成:
- 递归:代码简单,易于理解,但是浪费栈内存。
- 迭代:利用辅助结构,实现遍历,需要设计遍历的顺序。
迭代的方式遍历数组的时间复杂度为O(n),空间复杂度为O(h)。h为树的高度。
Morris遍历的优势在于,不采用辅助结构遍历二叉树,其空间复杂度为O(1)。
为什么可以不采用辅助结构??
首先思考一下,为什么我们要用栈或者队列来辅助我们遍历?
因为二叉树的结构是,一个父节点可以轻松的找到子节点,但是子节点无法直接找到父节点。我们需要利用栈或者队列保存访问的记录,以便于我们可以回溯到父节点。
而 Morris 遍历采用多个指针,使得通过复杂度不高的操作可以找到父节点。
Morris 遍历
Morris 遍历是一种节省空间复杂度的方法。将叶子节点上的空指针利用起来,指向父节点,当再次遍历到这个节点的时候再修改回来,这样最后二叉树的结构也没有发生改变。
遍历规则
cur:当前遍历的指针
rightMost:cur节点的左子树的最右节点
- 如果cur左子树为空:
cur=cur.right; - 如果cur左子树不为空:
找到rightMost- 如果
rightMost.right=null, 那么令rightMost=cur, cur=cur.left; - 否则,不为空则说明
rightMost.right曾经被修改过,我们这是第二次来到这个点,修改rightMost.right=null,cur=cur.right;
- 如果
解释一下上面的步骤:
- 首先整体向左走,如果没有左子树向右走。
- 如果左子树不为空,那么就找到左子树上最右的节点。这个节点的右子树一定是空的。把这个空指针指向当前节点,即保存了一个指向父节点的指针。此时,左子树还有值没有访问,cur向左走。
- 2.2中的结果是rightMost遍历到这个节点的,cur指针也会遍历到这个节点,这就是第二次访问到了,那么此时该节点作为rightMost时,是被修改过的,所以我们要重新修改其为null。
- 当出现2.2的情况时,说明该节点的左子树全部访问完毕,所以此时cur向右走。
- cur是真正有效的移动指针,它会走过所有的节点,rightMost是为了修改指针而存在的。
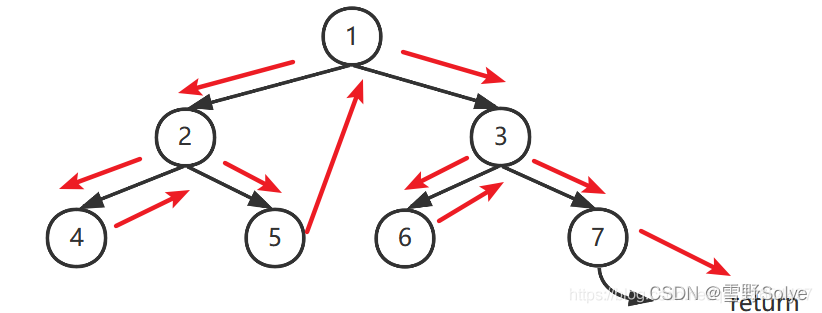
图示
整体上来说是这个样子:如果不考虑指针恢复的操作:

其实不难发现,在这种遍历方式中,有些节点会访问两次,有些节点会访问一次。因为我们有两个指针cur和rightMost,cur会走过所有的节点,rightMost会修改节点指向,使得cur重新访问到某个父节点。
该二叉树的Mirrors序列)(cur走过的顺序)为:
1 2 4 2 5 1 3 6 3 7

Morris遍历伪代码
TreeNode cur = root;
while (cur != null) {
// cur指针来遍历二叉树
TreeNode rightMost = cur;
// 左子树不为空
if (cur.left != null) {
// 向左走,目的是遍历完左子树
rightMost = cur.left;
// 找到rightMost
while (rightMost.right != null && rightMost.right != cur)
rightMost = rightMost.right;
// 查看right指针是否被修改过来
if (rightMost.right == null) {
rightMost.right = cur;
cur = cur.left;
// 如果没有被修改过,那么说明这个左子树没有遍历完,continue会使得最下面的cur向右移动执行不到,因为我们不希望想右走,左边子树还没有遍历完呢
continue;
}
// 修改过了,这是第二次到了该节点,我们需要将节点的指针修改回来。
rightMost.right = null;
}
// 如果访问过了,向右走
cur = cur.right;
}
基于Morris遍历先序
因为所有节点只有俩种情况:访问一次和访问两次
访问一次的节点即没有左子树的节点,那么遇到就打印。
访问两次的节点:有左子树,遇到第一次就打印,第二次不打印
public void morrisPreOrder(TreeNode root) {
if (root == null) return res;
TreeNode cur = root;
while (cur != null) {
if (cur.left != null) {
TreeNode rightMost = cur.left;
// 找到cur的左子树的最右节点,因为我们要通过这个节点返回回来。
while (rightMost.right != null && rightMost.right != cur) rightMost = rightMost.right;
// 当第一次遍历到rightMost时,我们要建立起其和cur的联系,同时打印cur节点
if (rightMost.right == null) {
// 这里是你对节点的操作
System.out.println(cur.val);
rightMost.right = cur;
cur = cur.left;
continue;
}
// 恢复叶子的空指针
rightMost.right = null;
} else // 如果当前节点没有左孩子,那么我们不必遍历其左子树,直接输出该节点后开始遍历其右子树即可,因为我们不用返回到该节点了
// 这里是你对节点的操作
System.out.println(cur.val);
cur = cur.right;
}
}
基于Morris遍历中序
访问一次的节点即没有左子树的节点,那么遇到就打印。
访问两次的节点:有左子树,遇到第一次不打印,第二次打印
public void morrisInOrder(TreeNode root) {
if (root == null) return res;
TreeNode cur = root;
while (cur != null) {
if (cur.left != null) {
TreeNode rightMost = cur.left;
// 找到cur的左子树的最右节点,因为我们要通过这个节点返回回来。
while (rightMost.right != null && rightMost.right != cur) rightMost = rightMost.right;
// 当第一次遍历到rightMost时,我们要建立起其和cur的联系,不打印这个节点
if (rightMost.right == null) {
rightMost.right = cur;
cur = cur.left;
continue;
}
// 恢复叶子的空指针
rightMost.right = null;
}// 如果当前节点没有左孩子,那么我们不必遍历其左子树,直接输出该节点后开始遍历其右子树即可,因为我们不用返回到该节点了
// 这里是你对节点的操作,这是我们第二次访问这个节点,注意这里没有else
System.out.println(cur.val);
cur = cur.right;
}
}
基于Morris遍历后序
后序相对比较复杂。整体思路还是基于Morris遍历。
但是:对于被访问一次的节点,不做任何处理。
访问两次的节点,第二次访问时,逆序打印其左子树右边界。

我们来看1的左子树,后序访问顺序为 4,4,5,2,按照Morris访问的顺序来看,当来到4的时候,4的右指针是指向2的,此时,是第二次访问到2节点,我们就逆序打印2的左子树的右边界,此时就到了4,因为4节点是叶子,所以此时输出的内容是4。
接着遍历到下面的4节点,其右指针指向的是1节点。这也是第二次访问到1,逆序打印从2-5-4节点,即1的左子树的右边界。注意此时1并没有打印出来。
到了根节点的右子树也是如此,但是最后无法打印根节点的右边界,所以最后要打印一下,此时也输出了根节点,完全符合后序遍历的结果。

// 代码来自leetCode二叉树后序遍历
public List<Integer> postorderTraversal(TreeNode root) {
TreeNode cur = root;
ArrayList<Integer> res = new ArrayList<>();
while (cur != null) {
TreeNode rightMost = cur.left;
if (rightMost != null) {
while (rightMost.right != null && rightMost.right != cur)
rightMost = rightMost.right;
if (rightMost.right == null) {
rightMost.right = cur;
cur = cur.left;
continue;
}
rightMost.right = null;
function(cur.left,res);
}
cur = cur.right;
}
function(root,res);
return res;
}
public void function (TreeNode node, ArrayList<Integer> res) {
//先逆序整个右边界
TreeNode tail = reverseEdge(node);
TreeNode cur = tail;
while (cur != null) {
res.add(cur.val);
cur = cur.right;
}
//翻转回来
reverseEdge(tail);
}
public TreeNode reverseEdge(TreeNode node) {
TreeNode pre = null;
TreeNode next = null;
while (node != null) {
next = node.right;
node.right = pre;
pre = node;
node = next;
}
return pre;
}
参考
程序员代码面试指南(第二版)
https://leetcode-cn.com/problems/binary-tree-inorder-traversal/solution/
本文深入探讨了二叉树的Morris遍历方法,这是一种节省空间复杂度的遍历策略。通过不使用额外的数据结构,而是利用空指针建立临时链接,Morris遍历能在O(1)的空间复杂度下完成先序、中序和后序遍历。详细介绍了遍历规则及其实现过程,并提供了伪代码示例,适合算法学习者参考。
3314

被折叠的 条评论
为什么被折叠?



