
n_row = size(A,1);
norm_r = sqrt(sum(abs(A).^2,2)); % same as norm(A,2,'rows')
B = zeros(n_row,n_row);
for i = 1:n_row
for j = i:n_row
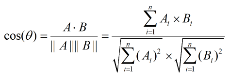
B(i,j) = dot(A(i,:), A(j,:)) / (norm_r(i) * norm_r(j));
B(j,i) = B(i,j);
end
end
如果大家有了解改进的余弦相似度的,欢迎交流哈~
408

被折叠的 条评论
为什么被折叠?



