该数据集来自南斯拉夫卢布尔雅那大学医疗中心肿瘤研究所,由M. Zwitter 与
M. Soklic 二者提供,感谢。该数据集可在UCI数据库中找到。该数据库是加州大学欧文分校提出的用于机器学习的数据库,是一个常用的标准测试数据集。

该数据集有2大类,9个属性,共286个实例。
class:类别,分别是乳腺癌复发(recurrence-events)和未复发(no-recurrence-events)
age:年龄,有 20-29, 30-39, 40-49, 50-59, 60-69, 70-79,六个区间
menopause:绝经期,分为prememo(未绝经),ge40(40岁之后绝经),lt40(40岁之前绝经)
tumor-size:肿瘤大小
inv-nodes:淋巴结个数
node-caps:结节冒有无
deg-malig:肿瘤恶性程度,分为1、2、3三种,3恶性程度最高
breast: 分为left和right
breast-quad:所在象限
irradiat:是否有放射性治疗经历
数据清洗
import pandas as pd
import numpy as np
import matplotlib.pyplot as plt
import matplotlib as mpl
import seaborn as sns
%matplotlib inline
mpl.rcParams['font.sans-serif'] = ['simhei']
mpl.rcParams['font.serif'] = ['simhei']
plt.rc("font",family="SimHei",size="14")
sns.set_style("darkgrid")
cancer=pd.read_csv("C:\\Users\\HP\\cancer\\cancer.txt")
cancer.columns=['class','age','menopause','tumor-size','inv-nodes','node-caps','deg-malig','breast','breast-quad','irradiat']
cancer.head()
#cancer.info()
我认为左右胸和肿瘤所在象限是重复的属性,所以把breast这个属性drop掉
cancer.loc[cancer["class"]=="no-recurrence-events","class"]=1
cancer.loc[cancer["class"]=="recurrence-events","class"]=0
cancer.loc[cancer["menopause"]=="premeno","menopause"]=0
cancer.loc[cancer["menopause"]=="lt40","menopause"]=1
cancer.loc[cancer["menopause"]=="ge40","menopause"]=2
cancer.loc[cancer["node-caps"]=="no","node-caps"]=0
cancer.loc[cancer["node-caps"]=="yes","node-caps"]=1
cancer.loc[cancer["node-caps"]=="?","node-caps"]=1
#node-caps结节冒未知就当做有
cancer.loc[cancer["irradiat"]=="no","irradiat"]=1
cancer.loc[cancer["irradiat"]=="yes","irradiat"]=0
cancer=cancer.drop(['breast'],axis=1)
cancer.head()
将字符型转换为数值型

这些专业名词具体是什么我也不清楚,所以进行可视化,看看哪些是主要的影响因素
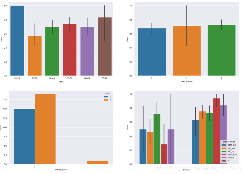
fig,axes = plt.subplots(2,2,figsize=(18,13))
sns.barplot(x='age',y='class',data=cancer,ax=axes[0,0],order=["20-29","30-39","40-49","50-59","60-69","70-79"])
sns.barplot(x='menopause',y='class',data=cancer,ax=axes[0,1])
sns.countplot(x='menopause',hue='class',data=cancer[cancer.age.isin(['30-39'])],ax=axes[1,0])
sns.barplot(x='irradiat',y='class',hue='breast-quad',data=cancer,ax=axes[1,1])

左上图1可以看出,乳腺癌复发的概率和年龄关系不大,但在30-39这个年龄段,可能因为绝经的原因(猜测),而导致复发率相比较高,故做图3,发现30-39基本为未绝经患者。
同时图2表明,绝经时期对复发率有一定影响,但影响不大。
图4表明,经过放疗会较大程度地增加复发的概率。
当然这些只是猜测,具体还需模型验证。
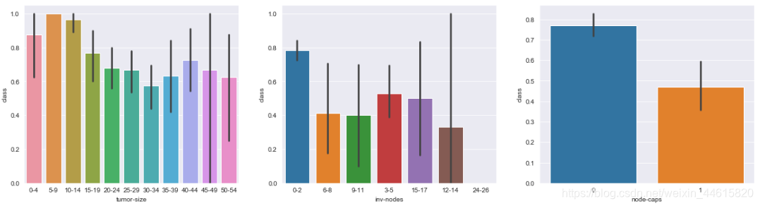
fig,(ax1,ax2,ax3) = plt.subplots(1,3,figsize=(20,5))
sns.barplot(x='tumor-size',y='class',data=cancer,order=['0-4','5-9','10-14','15-19','20-24','25-29','30-34','35-39','40-44','45-49','50-54'],ax=ax1)
sns.barplot(x='inv-nodes',y='class',data=cancer,ax=ax2)
sns.barplot(x='node-caps',y='class',data=cancer,ax=ax3)

上面三个可知,肿块大小,淋巴个数多少,结节冒有无,都影响着复发率
sns.barplot(x='deg-malig',y='class',data=cancer)

恶化程度越深,复发率越高
经过可视化可以对这些特征有个初步认识,如放疗、结节冒、恶化程度等对乳腺癌复发影响程度较大
接下来对数据进行标签化
数据标签化
from sklearn import preprocessing
le = preprocessing.LabelEncoder()
features = ['age','tumor-size','inv-nodes','breast-quad']
#print("encoding....")
for feature in features:
#非数字型和数字型标签值标准化
le.fit(cancer[feature])
cancer[feature] = le.transform(cancer[feature])
#print("over....")
cancer.head()

分割数据
from sklearn.model_selection import train_test_split
predictors=cancer.columns[1:]
X_train,X_test,y_train,y_test=train_test_split(cancer[predictors],cancer['class'],test_size=0.2,random_state=1)
构建模型
采用三种模型进行预测:决策树、随机森林和支持向量机
决策树
###下为决策树代码
from sklearn.model_selection import GridSearchCV
from sklearn.tree import DecisionTreeClassifier
from sklearn import metrics
max_depth=range(4,10,1)
min_samples_split=range(2,12,1)
min_samples_leaf=range(2,12,1)
parameters_dtc={'max_depth':max_depth,'min_samples_split':min_samples_split,'min_samples_leaf':min_samples_leaf}
grid_search=GridSearchCV(estimator=DecisionTreeClassifier(),param_grid=parameters_dtc,cv=10,n_jobs=-1)
grid_search.fit(X_train,y_train)
grid_search.best_params_
{‘max_depth’: 5, ‘min_samples_leaf’: 9, ‘min_samples_split’: 2}
import pydotplus
from sklearn.tree import export_graphviz
#根据调参结果构建决策树
dtc=DecisionTreeClassifier(max_depth=5,min_samples_split=2,min_samples_leaf=9)
dtc.fit(X_train,y_train)
y_predict=dtc.predict(X_test)
print("决策树模型在测试集上的准确率为:",metrics.accuracy_score(y_test,y_predict))
###保存图像到pdf文件
dot_data = export_graphviz(dtc,out_file=None,feature_names=predictors,class_names="class",filled=True, rounded=True,special_characters=True)
graph = pydotplus.graph_from_dot_data(dot_data)
graph.write_pdf("cancer_tree.pdf")
决策树模型在测试集上的准确率为: 0.8070175438596491
随机森林
from sklearn.ensemble import RandomForestClassifier
from sklearn.metrics import make_scorer, accuracy_score
from sklearn.model_selection import GridSearchCV
#选择分类器的类型
RF = RandomForestClassifier()
#可以通过定义树的各种参数,限制树的大小,防止出现过拟合现象
parameters = {'n_estimators': [50,100,200],
'criterion': ['entropy', 'gini'],
'max_depth': [4,5,6],
'min_samples_split': [2,4,6,8],
'min_samples_leaf': [2,4,6,8,10]
}
#自动调参,通过交叉验证确定最优参数。
grid_obj = GridSearchCV(RF,parameters,cv=10,n_jobs=1)
grid_obj = grid_obj.fit(X_train,y_train)
clf = grid_obj.best_estimator_
clf.fit(X_train,y_train)
RandomForestClassifier(bootstrap=True, class_weight=None, criterion=‘entropy’,
max_depth=4, max_features=‘auto’, max_leaf_nodes=None,
min_impurity_decrease=0.0, min_impurity_split=None,
min_samples_leaf=8, min_samples_split=2,
min_weight_fraction_leaf=0.0, n_estimators=100, n_jobs=1,
oob_score=False, random_state=None, verbose=0,
warm_start=False)
predictions = clf.predict(X_test)
print("随机森林模型在测试集上的准确率为:",accuracy_score(y_test,predictions))
随机森林模型在测试集上的准确率为: 0.8421052631578947
#影响乘客是否幸存的重要因素
importance=clf.feature_importances_
series=pd.Series(importance,index=X_train.columns)
series.sort_values(ascending=True).plot('barh')
plt.show()

由图可知,肿瘤恶性程度、肿瘤大小以及淋巴结个数是导致乳腺癌复发的主要因素
这与前文可视化的图相一致
SVM
#支持向量机
from sklearn.svm import SVC
svr=SVC()
parameters_SVM={'kernel':['rbf','linear'],'C':range(4,5,6),'gamma':[0.1,0.5,1]}
grid_SVM=GridSearchCV(svr,parameters_SVM,cv=10)
grid_SVM.fit(X_train,y_train)
clf_SVM=grid_SVM.best_estimator_
clf_SVM.fit(X_train,y_train)
print(clf_SVM)
print("支持向量机在训练集上的准确率为:",clf_SVM.score(X_train,y_train))
print("支持向量机在测试集上的准确率为:",clf_SVM.score(X_test,y_test))
SVC(C=4, cache_size=200, class_weight=None, coef0=0.0,
decision_function_shape=‘ovr’, degree=3, gamma=0.1, kernel=‘rbf’,
max_iter=-1, probability=False, random_state=None, shrinking=True,
tol=0.001, verbose=False)
支持向量机在训练集上的准确率为: 0.8596491228070176
支持向量机在测试集上的准确率为: 0.7543859649122807
总结
随机森林模型在测试集上的准确率为: 0.8421052631578947,是三者之中最好的,并且准确率有84%,预测效果还是挺准确的,但对于医疗疾病来说,准确率还需要提升,可能还有其他的算法能提高准确率,由于还没学到,这里就不讨论了。
最后,祝愿全世界患者能够早日康复~
——威斯康辛乳腺癌数据集&spm=1001.2101.3001.5002&articleId=88693275&d=1&t=3&u=d8b656232c0546b09d75f521d7f9d7b6)
677

被折叠的 条评论
为什么被折叠?



