


递推掌握核心:
- 递推公式(规律)
- 递推边界(初始化条件)

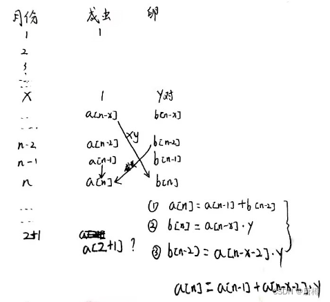
分析题目意思:如下图

递推式:a[n] = a[n-1]+a[n-2];
递推边界:a[1]=1 a[2]=2


#include<iostream>
using namespace std;
long long a[100],x,y,z;
int main(){ //昆虫繁衍
cin>>x>>y>>z;
//x月前面
for(int i=1;i<=x;i++){
a[i]=1; //一对成虫
}
//x月后面
for(int i=x+1;i<=z+1;i++){
//递推公式 a[n]=a[n-1]+a[n-x-2]*y
a[i]=a[i-1]+a[i-x-2]*y;
}
cout<<a[z+1];
return 0;
}

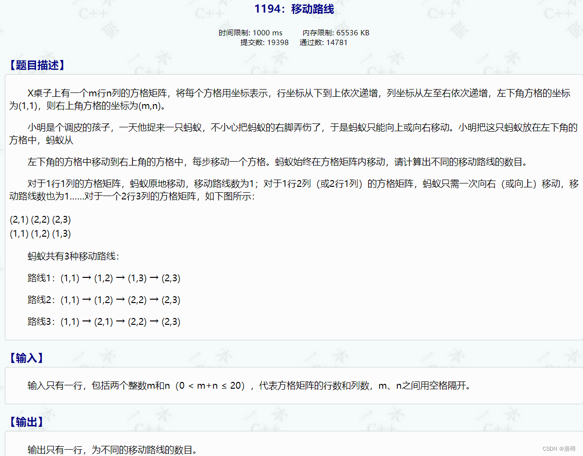
题目意思:卒从A点到B点可以走哪几条路?有前提条件:卒只能往下或往右走! 马的位置和8个控制点不能走!

由于卒一直往右走,我们知道(0,3)这个P5点是被马控制的,不能走,那(0,4) 在P5的后面也走不了!

- 递推式:a[i][j]=a[i-1][j]+a[i][j-1];
#include<bits/stdc++.h>
using namespace std;
int a[30][30]; //数组存储这个坐标点的路径数
bool flag[30][30]; //标记这个点是否能走
int b[8][2]={{-1,-2},{1,-2},{-2,-1},{2,-1},{1,2},{-1,2},{2,1},{-2,1}};
int main(){
int n,m,x,y;
cin>>n>>m>>x>>y;
flag[x][y]=true;
//马的坐标x,y 标记true,代表不能走
for(int i=0;i<8;i++){ //马的8个控制点也不能走
int tx = x+b[i][0]; //8个控制点的x坐标
int ty = y+b[i][1]; //8个控制点的y坐标
if(tx>=0 && tx<=n && ty>=0 && ty<=m){ //坐标满足在范围内
flag[tx][ty]=true; //标记true,代表不能走
}
}
for(int i=0;i<=n;i++){
for(int j=0;j<=m;j++){ //遍历整个二维数组
if(flag[i][j]==true){
a[i][j]=0; //这个点的路径为0
}
else if (i==0 && j==0){
a[i][j]=1; //地点位置路径数为1
}
else if(i==0 && j!=0){
//单行(0,1) (0,2)的路径数由前面的位置决定!
a[i][j] = a[i][j-1];
}
else if(j==0 && i!=0){
//单列(1,0) (2,0)的路径数由前面的位置决定!
a[i][j] = a[i-1][j];
}
else{ //递推规律
a[i][j]=a[i-1][j]+a[i][j-1];
}
}
}
cout<<a[n][m];
return 0;
}

这道题比较简单,需要注意 对第a个数取模1000。 在递推式的时候就要实现,不然在输出那里因为运算的结果太大会报错!!!
递推式:f[i] = (f[i-1]+f[i-2])%1000;
#include<bits/stdc++.h>
using namespace std;
long long f[1000002];
int main(){
f[1]=f[2]=1;
int n,a;
cin>>n;
for(int i=3;i<=1000000;i++){ //斐波那契数列1-100000的值
f[i] = (f[i-1]+f[i-2])%1000; //递推式
}
for(int i=1;i<=n;i++){
//根据题目条件,n行,每一行有第a个数列,输出第a个斐波那契数列值
cin>>a;
cout<<f[a]<<endl;
}
return 0;
}

这题也不难,只要知道递推式,递推边界即可!
很明显递推式:f[i] = (2*f[i-1]+f[i-2])%32767
#include<bits/stdc++.h>
using namespace std;
long long f[1000009];
int main(){
f[1]=1;
f[2]=2;
int n,a;
for(int i=3;i<=1000000;i++){
f[i] = (2*f[i-1]+f[i-2])%32767;
}
cin>>n;
for(int i=1;i<=n;i++){
cin>>a;
cout<<f[a]<<endl;
}
return 0;
}

上台阶也是一种斐波那契数列。
递推式:a[i] = a[i-1]+a[i-2]+a[i-3];
递推边界:a[1]=1; a[2]=2; a[3]=4;
#include<iostream>
using namespace std;
long long a[100];
int main(){
a[1]=1;
a[2]=2;
a[3]=4;
int n;
do{
cin>>n;
if(n==1 || n==2 || n==3){
cout<<a[n]<<endl;
}
else{
for(int i=4;i<=n;i++){
a[i] = a[i-1]+a[i-2]+a[i-3];
}
if(n==0){
return 0;
}
cout<<a[n]<<endl;
}
}while(n!=0);
return 0;
}

1.输入二维数组 n*n 值;
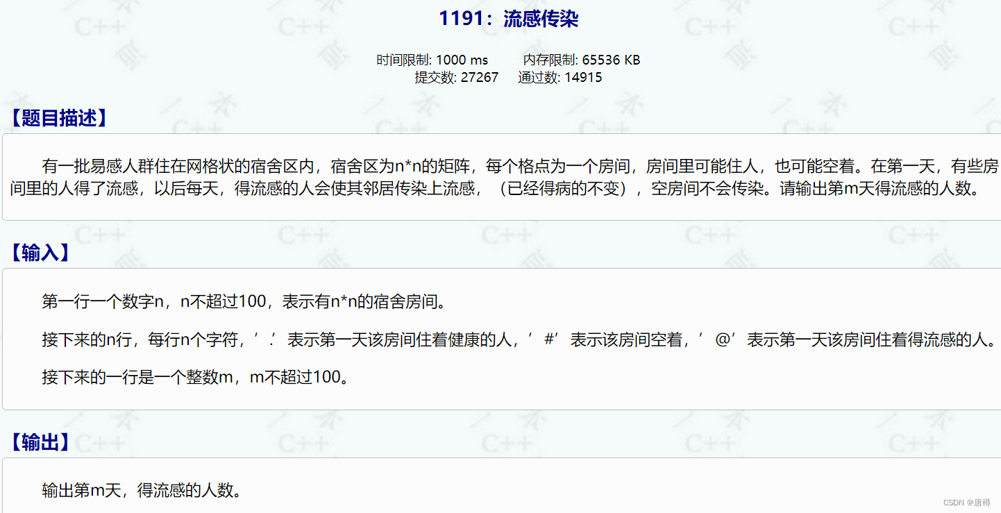
2.如果某房间坐标有感染,那这个人房间位置的上下左右都要标记感染,额外判断空房间不感染;
3.遍历一遍房间如果是被标记感染的,则把房间健康的人变成感染!
4.m天次,就是重复执行 步骤2 3;
5.最后统计第m天的感染人数,并输出
//1191:流感传染
#include<bits/stdc++.h>
using namespace std;
char a[105][105];
bool flag[105][105]={0};
int main(){
int n,m,cnt=0;
cin>>n;
for(int i=1;i<=n;i++){ //输入第一天值
for(int j=1;j<=n;j++){
cin>>a[i][j];
}
}
cin>>m;
for(int k=2;k<=m;k++){// 第2天到第m天
for(int i=1;i<=n;i++){ //遍历一遍房间
for(int j=1;j<=n;j++){
if(a[i][j]=='@'){ //房间的人是感染则
//上下左右有人的房间标记感染
if(a[i-1][j]=='.') flag[i-1][j]=true;
if(a[i+1][j]=='.') flag[i+1][j]=true;
if(a[i][j-1]=='.') flag[i][j-1]=true;
if(a[i][j+1]=='.') flag[i][j+1]=true;
}
}
}
for(int i=1;i<=n;i++){
//再遍历一遍房间,
for(int j=1;j<=n;j++){
if(flag[i][j]==true){ // 对感染的房间里的人改变状态,
a[i][j]='@'; //标记生病
}
}
}
}
//第m天后,统计感染的的人数,并输出
for(int i=1;i<=n;i++){
for(int j=1;j<=n;j++){
if(a[i][j]=='@'){
cnt++;
}
}
}
cout<<cnt;
return 0;
}

这道题跟“过河卒”很像,而且简单些。前提条件:只能往上或往右走! ,也就是行会变大、或列变大。 计算走的路线和。 注意单行单列只有一种走法!
- 递推式:a[i][j]=a[i-1][j] + a[i][j-1];

#include<bits/stdc++.h>
using namespace std;
int a[21][21];
int main(){
int m,n;
cin>>m>>n;
for(int i=1;i<=m;i++){
for(int j=1;j<=n;j++){
if(i==1 && j!=1){ //单行(1,1) (1,2)的路径数1
a[1][j]=1;
}
else if(j==1 && i!=1){ //单列(1,1) (2,1)的路径数1
a[i][1]=1;
}
else{ //往上走或往右走的递推公式
a[i][j]=a[i-1][j] + a[i][j-1];
}
}
}
cout<<a[m][n];
return 0;
}
9175

被折叠的 条评论
为什么被折叠?



