tf好朋友之matplotlib的使用——坐标轴设置部分
画完图了,也要记得对坐标轴进行合理的设置噢!

坐标轴设置常用函数及其作用
1、plt.xlim()和plt.ylim()
plt.xlim(
*args,
**kwargs)
# 使用方法
# xlim((left, right)) # set the xlim to left, right
# xlim(left, right) # set the xlim to left, right
用于设置x坐标轴位于left到right之间
plt.ylim(
*args,
**kwargs)
# ylim((bottom, top))
# ylim(bottom, top)
用于设置y坐标轴位于bottom到top之间
2、plt.xlabel()和plt.ylabel()
这两个函数用于设置x轴和y轴的标签。
应用举例:
plt.xlabel('I am x label')
plt.ylabel('I am y label')
其x轴上的作用效果如图所示:

3、plt.xticks()和plt.xticks()
plt.xticks(
ticks=None,
labels=None,
**kwargs)
plt.yticks(
ticks=None,
labels=None,
**kwargs)
在传输量仅只有ticks时:
newTicks = np.linspace(-1,1,10)
plt.xticks(newTicks)
其可以将x轴坐标设置为-1到1,间隔数为10。
在传输量有ticks和labels时:
plt.yticks([-2,-1.0,0,1.5,3],
['really bad','little bad','normal','little good','pretty good'])
其可以将y轴坐标按照一定格式设置字符,-2对应really bad,-1对应little bad,以此类推。
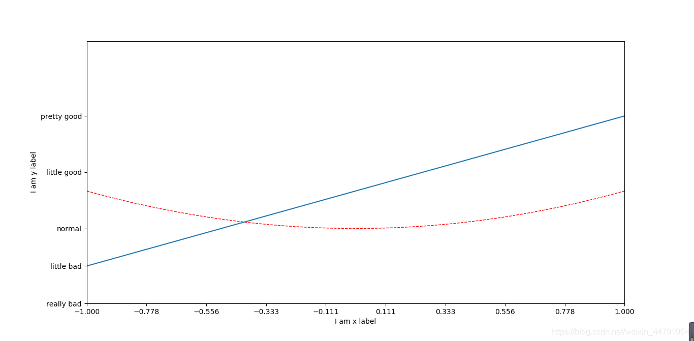
二者结合的作用效果为:

4、axis操作指令
axis操作指令可以使得坐标轴的位置、样式发生改变。
# 可以用于获取当前的axis。
ax = plt.gca()
# 用于设置坐标轴边的颜色与情况
# 此时设置图像的上边、右边axis为无色
ax.spines['right'].set_color('none')
ax.spines['top'].set_color('none')
# 设置x轴坐标在下部
ax.xaxis.set_ticks_position('bottom')
# 设置x轴位于图像y=0处
ax.spines['bottom'].set_position(('data', 0))
# 设置x轴坐标在左部
ax.yaxis.set_ticks_position('left')
# 设置y轴位于图像x=0处
ax.spines['left'].set_position(('data',0))
示例代码
本文将两个figure进行对比,两个figure均有各自的特点设置。
import matplotlib.pyplot as plt
import numpy as np
x = np.linspace(-1,1,50)
y1 = 2*x + 1
y2 = x**2
plt.figure(num=1,figsize=(8,5))
# 用于设置x轴的范围
plt.xlim((-1,1))
# 用于设置y轴的范围
plt.ylim((-2,5))
# 设置x轴的名称
plt.xlabel('I am x label')
# 设置y轴的名称
plt.ylabel('I am y label')
# 将新的x轴上的坐标设置为-1到1间隔数为10
newTicks = np.linspace(-1,1,10)
plt.xticks(newTicks)
# 将y轴坐标按照一定格式设置字符,-2对应really bad,-1对应little bad
plt.yticks([-2,-1.0,0,1.5,3],
['really bad','little bad','normal','little good','pretty good'])
# 按照一定格式画线
plt.plot(x,y2,color = 'red',linewidth = 1.0,linestyle = '--')
plt.plot(x,y1)
# 新建一幅图像,形成与上一幅图的对比
plt.figure(num=2,figsize=(8,5))
plt.xlim((-1,1))
plt.ylim((-2,5))
plt.xlabel('I am x label')
plt.ylabel('I am y label')
newTicks = np.linspace(-1,1,10)
plt.xticks(newTicks)
# y轴字体差别,设置成斜体
plt.yticks([-2,-1.0,0,1.5,3],
[r'$really\ bad$',r'$little\ bad$',r'$normal$',r'$little\ good$',r'$pretty\ good$'])
plt.plot(x,y2,color = 'red',linewidth = 1.0,linestyle = '--',marker = '.')
plt.plot(x,y2,'r--.',linewidth = 1.0)
plt.plot(x,y1)
# 获得当前的axis
ax = plt.gca()
# 设置图像的上边、右边axis为无色
ax.spines['right'].set_color('none')
ax.spines['top'].set_color('none')
# 设置x轴坐标在下部
ax.xaxis.set_ticks_position('bottom')
# 设置x轴位于图像y=0处
ax.spines['bottom'].set_position(('data', 0))
# 设置x轴坐标在左部
ax.yaxis.set_ticks_position('left')
# 设置y轴位于图像x=0处
ax.spines['left'].set_position(('data',0))
print(ax)
plt.show()
figure1:

figure2:

3340

被折叠的 条评论
为什么被折叠?



